About Me
  • Writing
Mentoring + Service
Contact
Victoria Rubio
About Me
  • Writing
Mentoring + Service
Contact

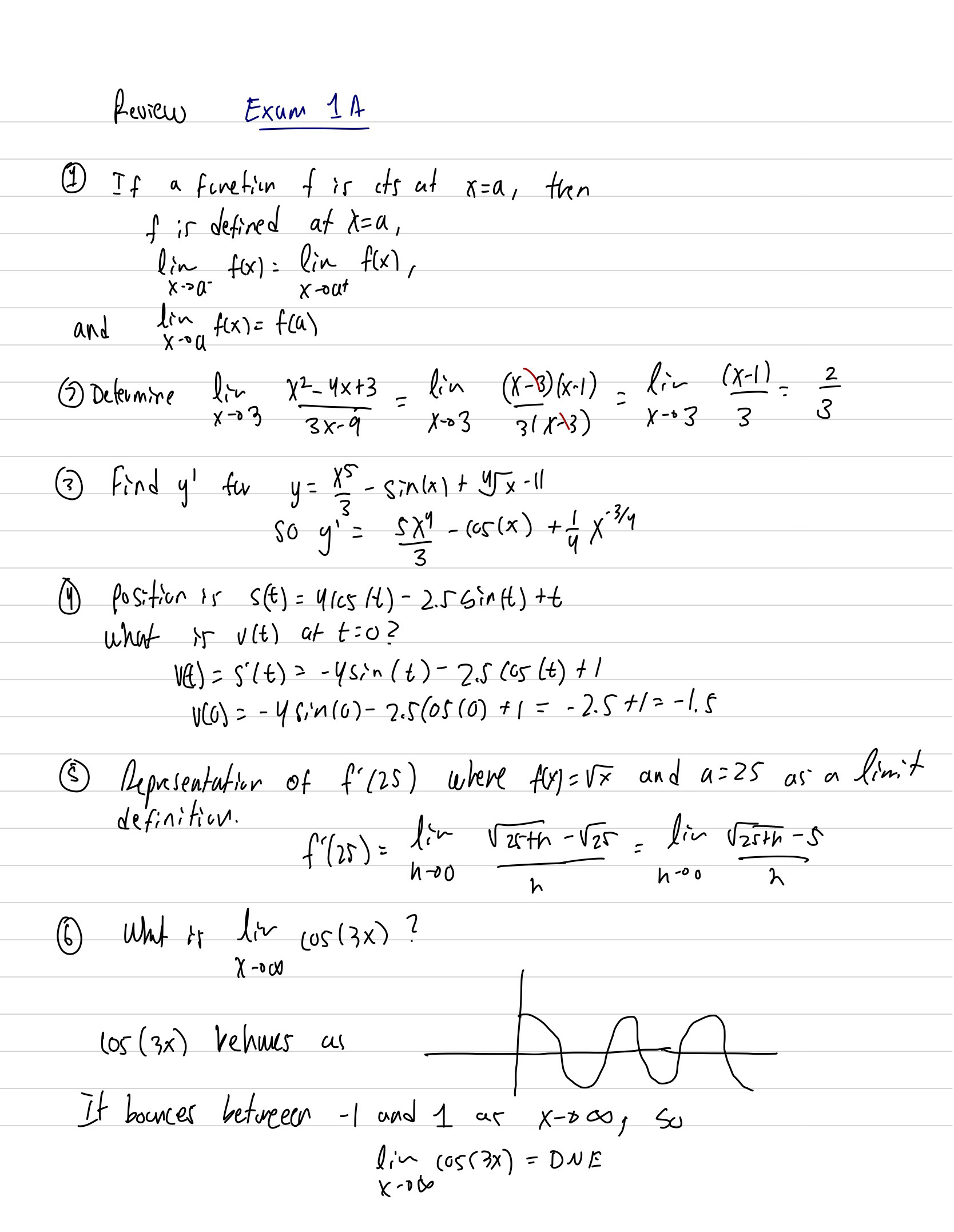
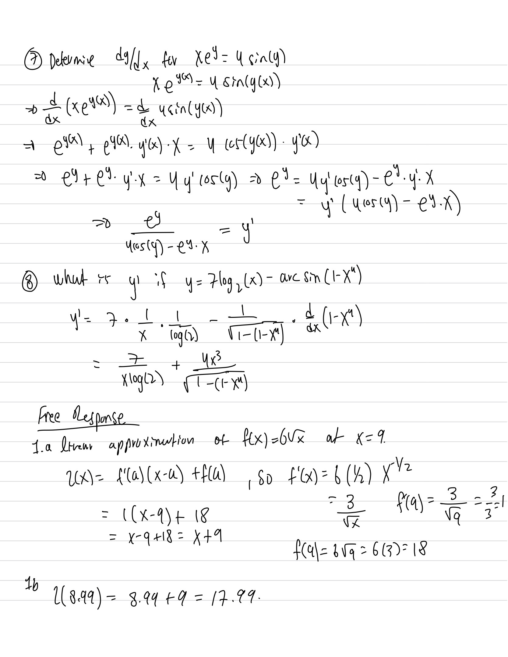
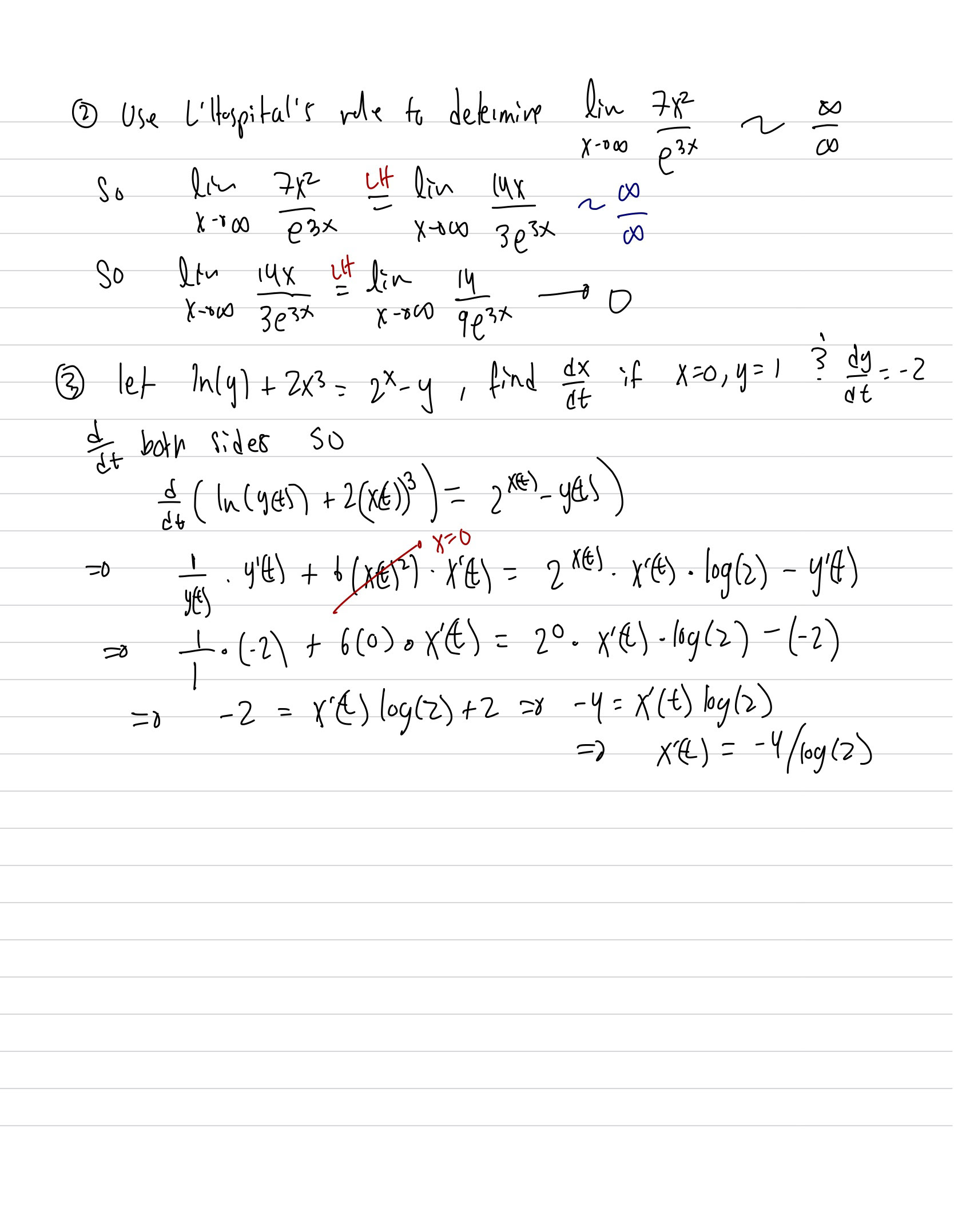
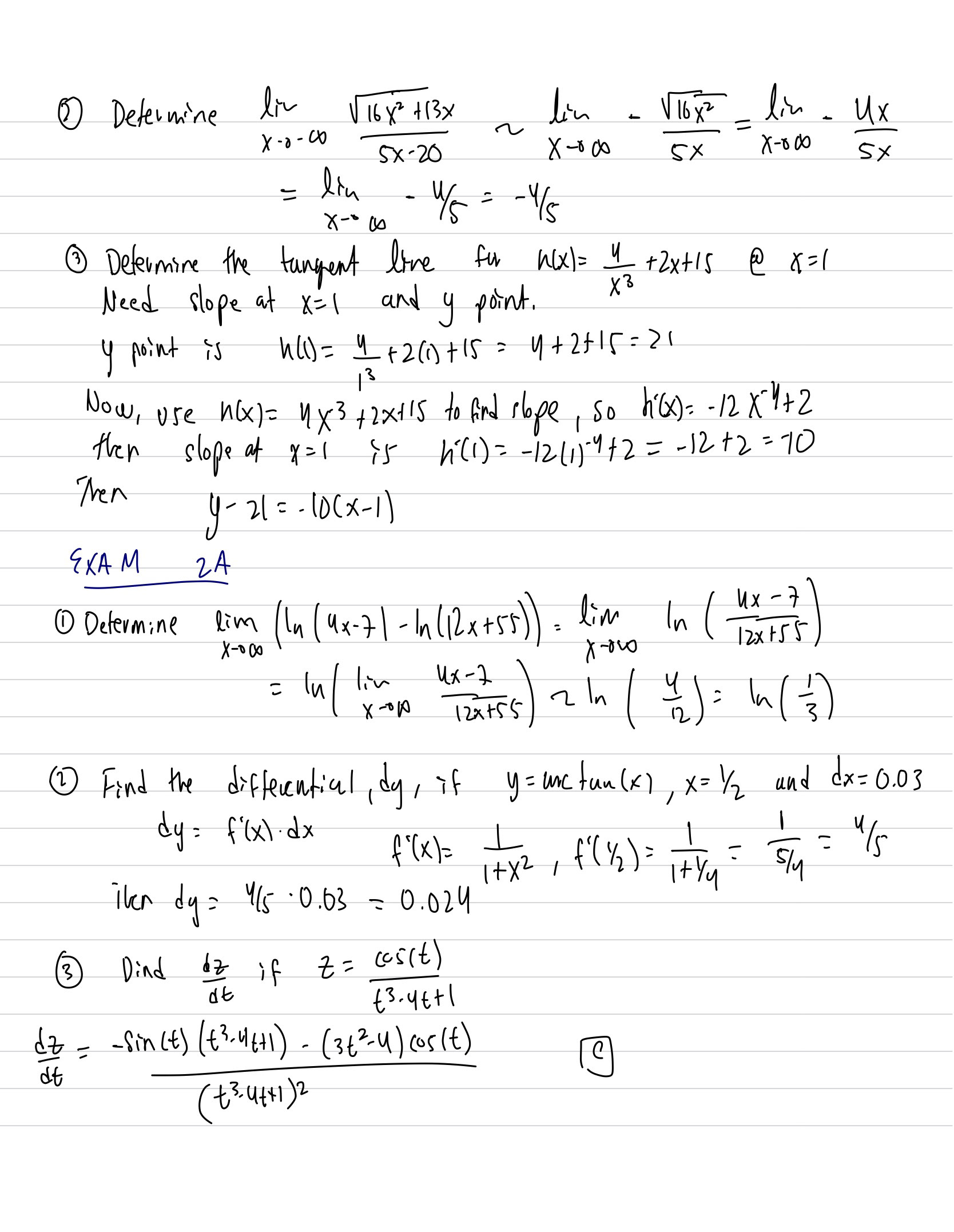
FInal Review

↑Back to Top
Powered by Adobe Portfolio