About Me
Writing
Mentoring + Service
Contact
About Me
Writing
Mentoring + Service
Contact
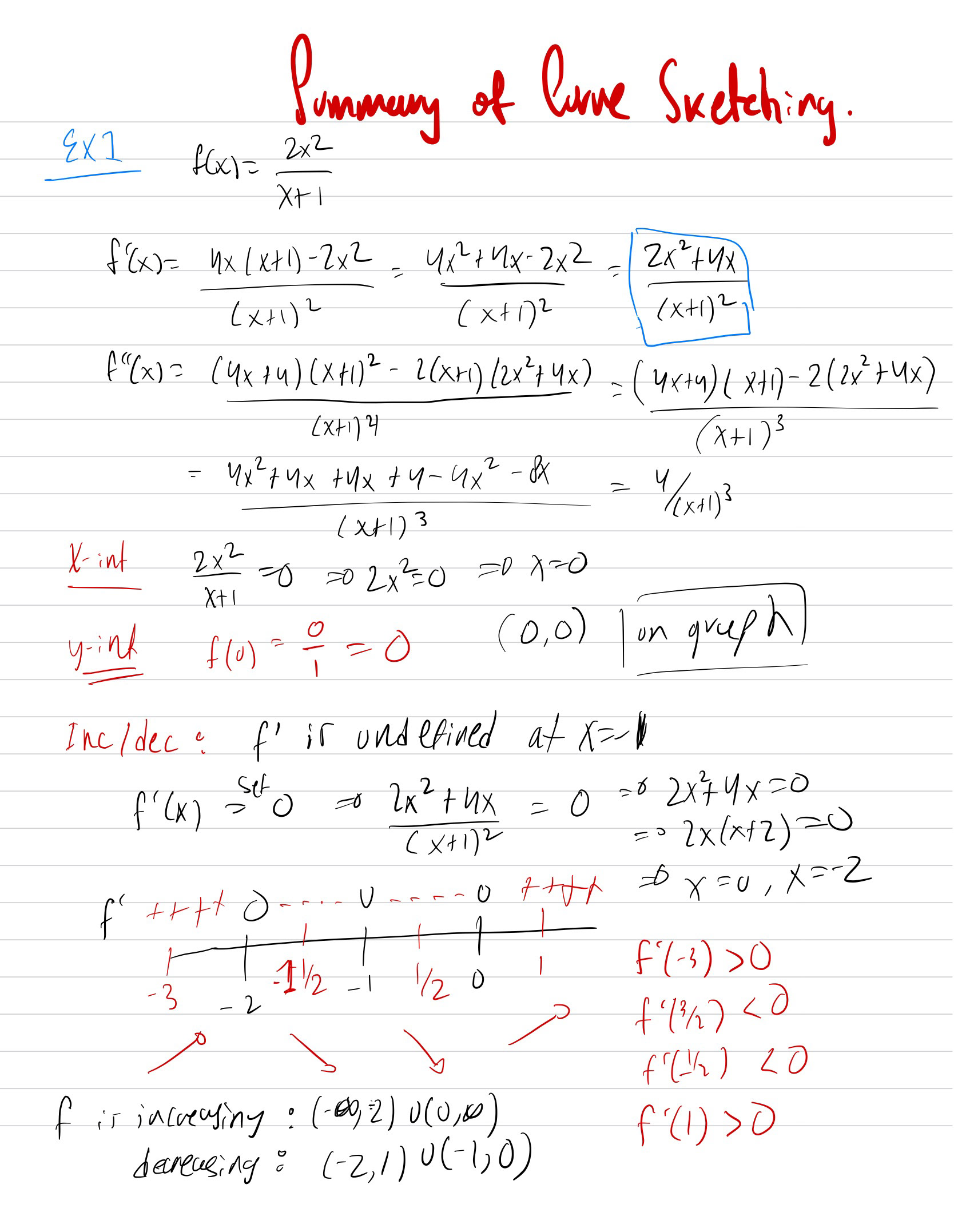
Lesson 22- A Summary of Curve Sketching
↑
Back to Top