About Me
Writing
Mentoring + Service
Contact
About Me
Writing
Mentoring + Service
Contact
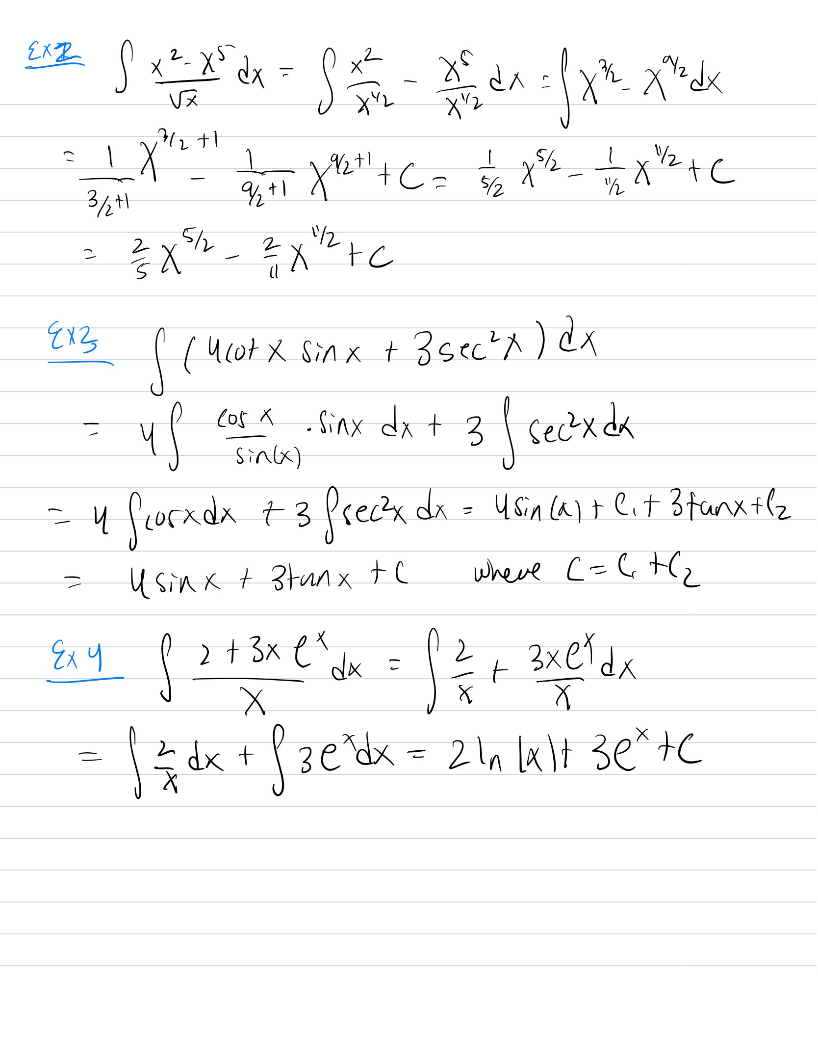
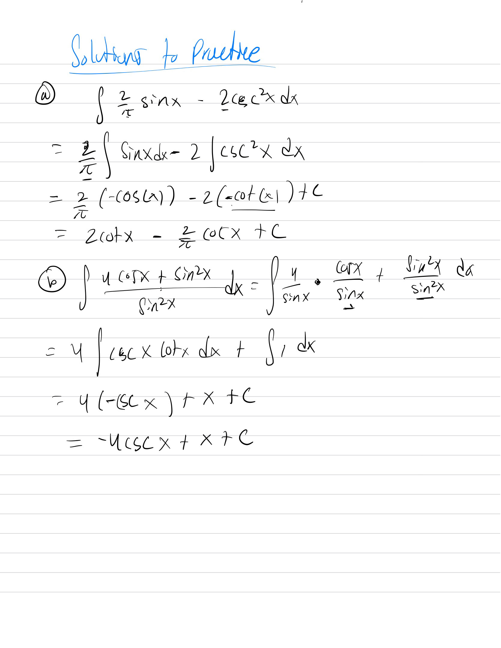
Lesson 26- Antiderivatives and Indefinite Integration I
↑
Back to Top