About Me
Writing
Mentoring + Service
Contact
About Me
Writing
Mentoring + Service
Contact
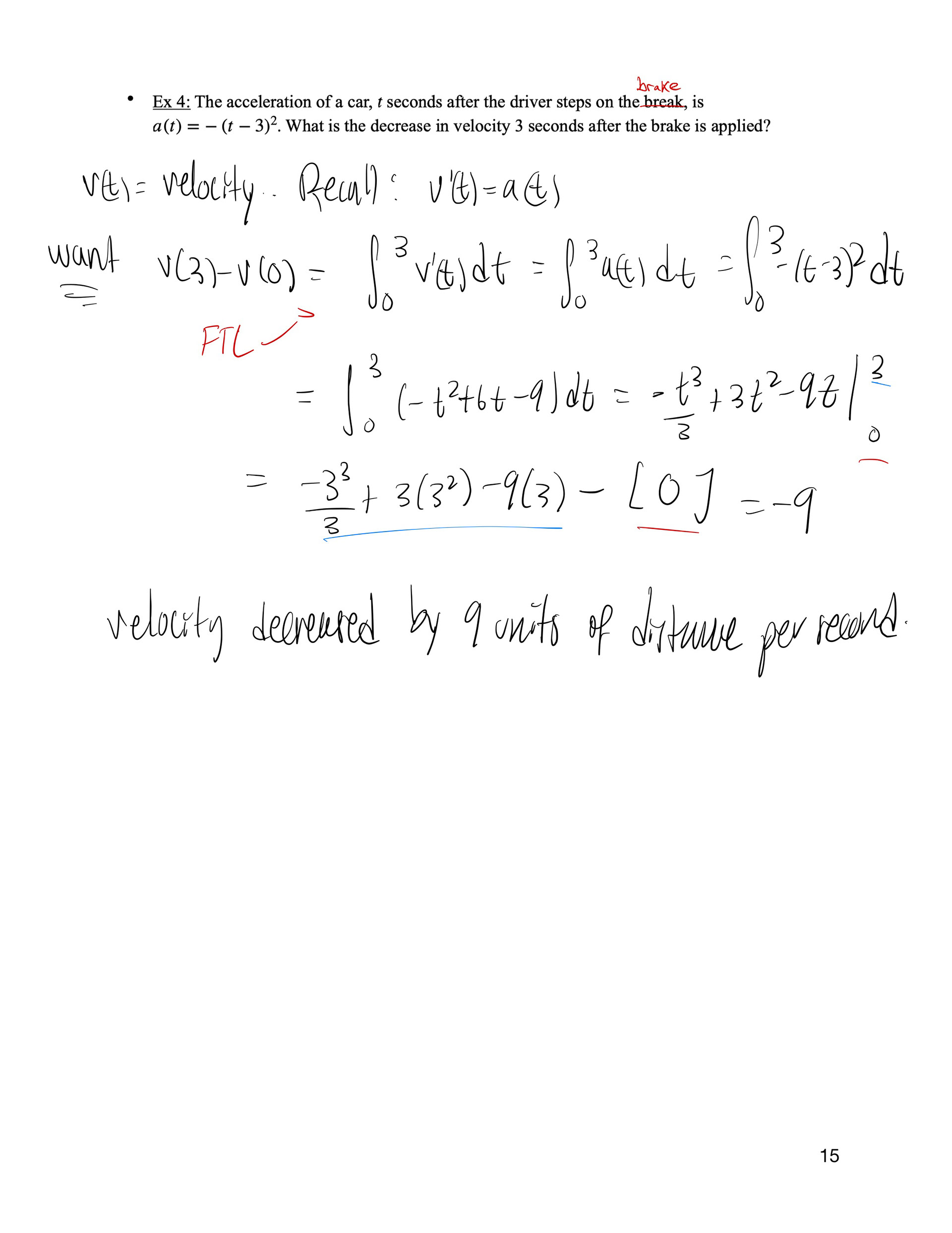
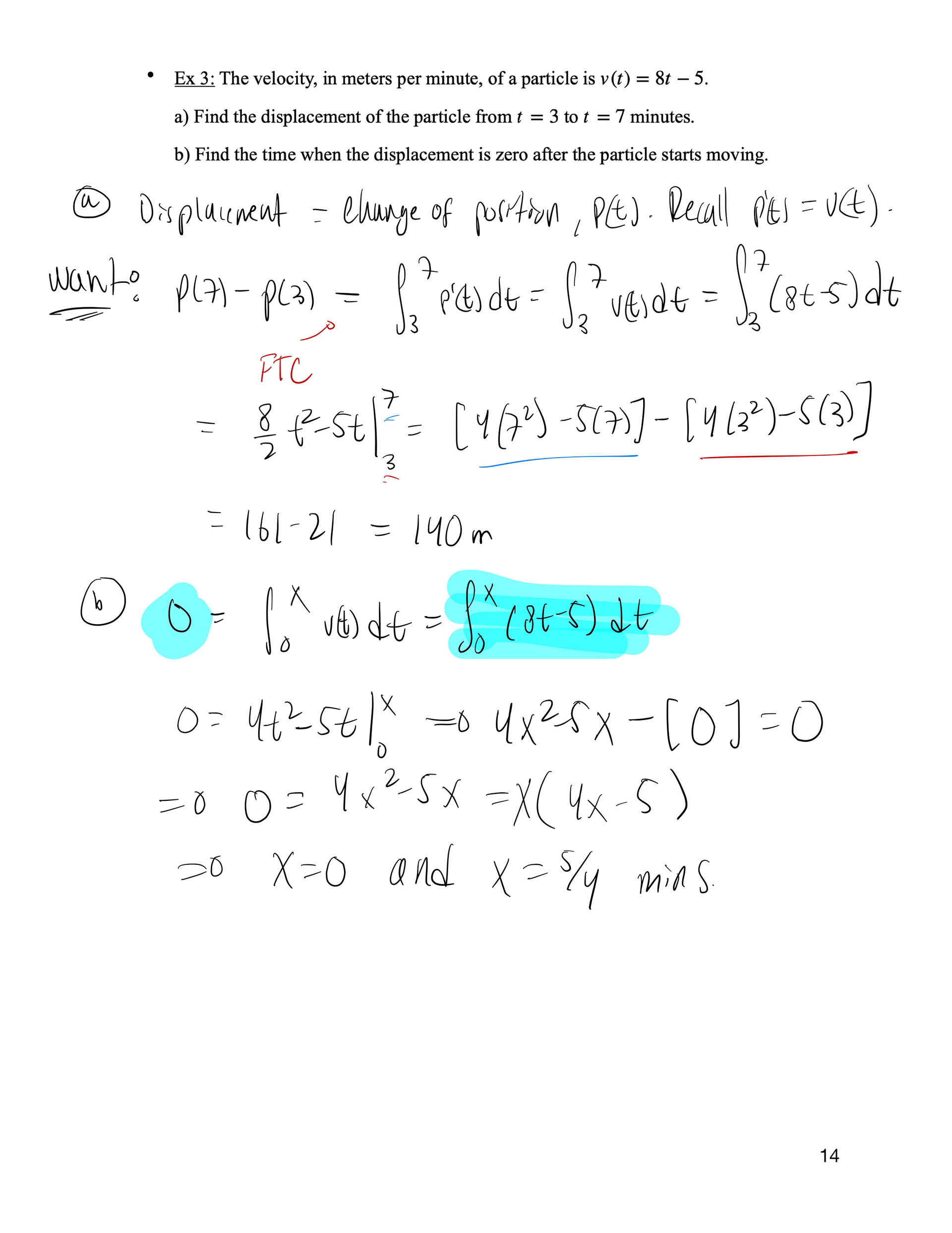
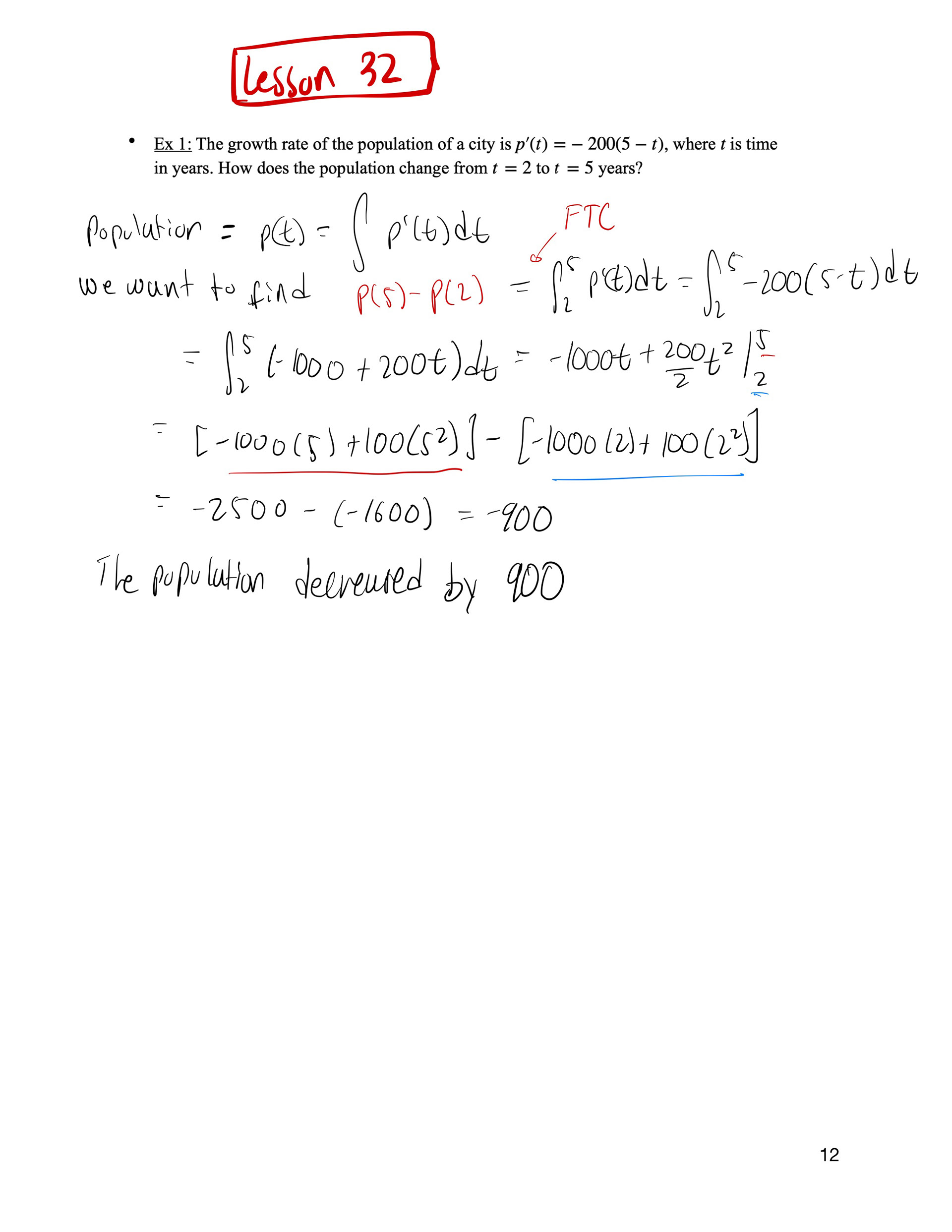
Lesson 32- The Fundamental Theorem of Calculus II
↑
Back to Top