About Me
Writing
Mentoring + Service
Contact
About Me
Writing
Mentoring + Service
Contact
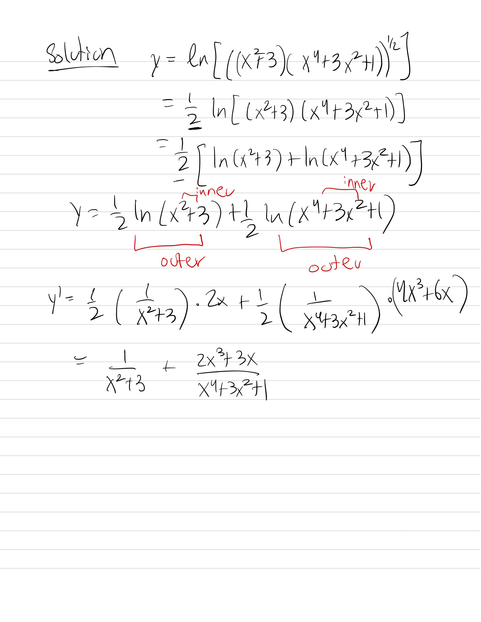
Lesson11-The Chain Rule; Natural Log Function
↑
Back to Top