About Me
Writing
Mentoring + Service
Contact
About Me
Writing
Mentoring + Service
Contact
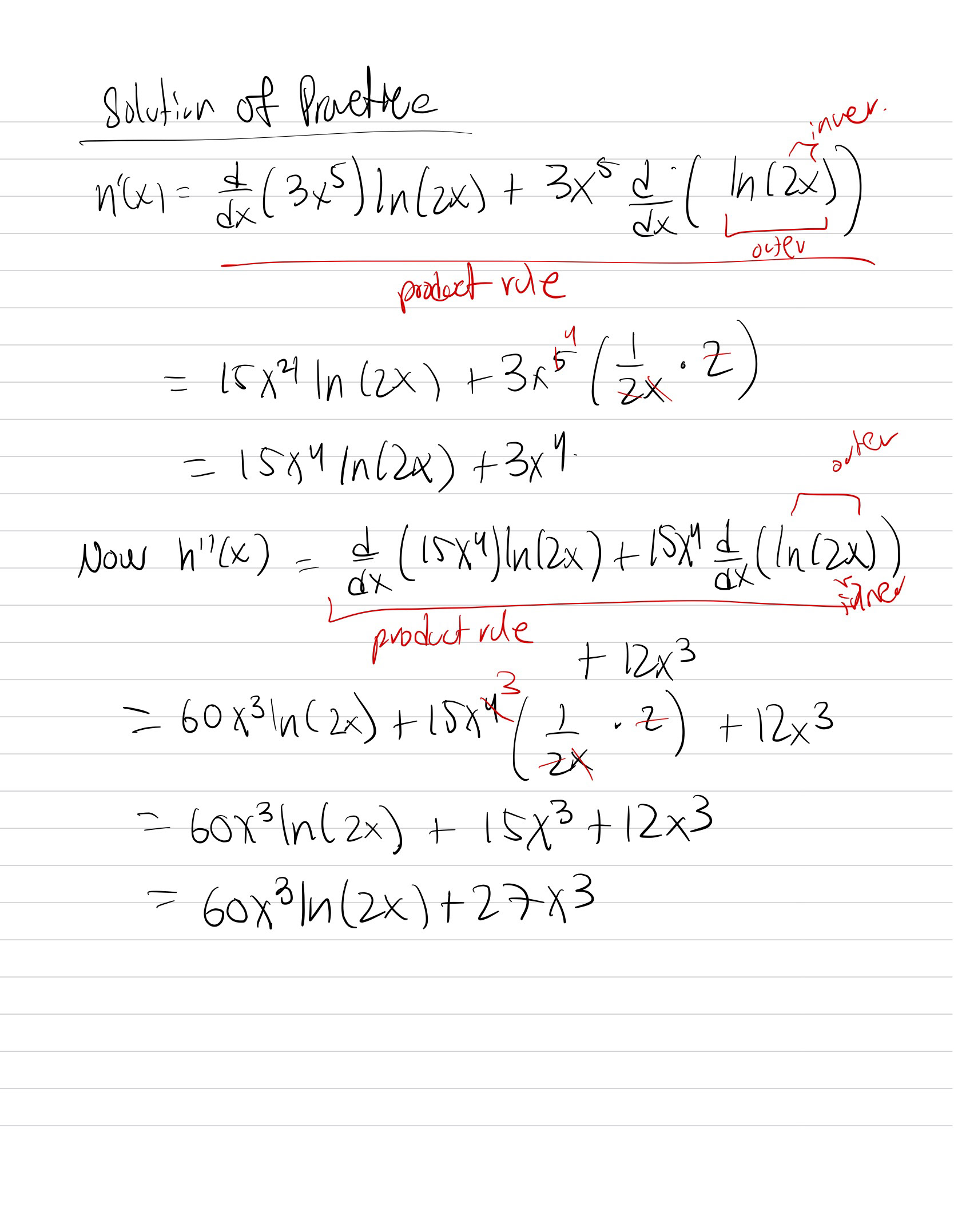
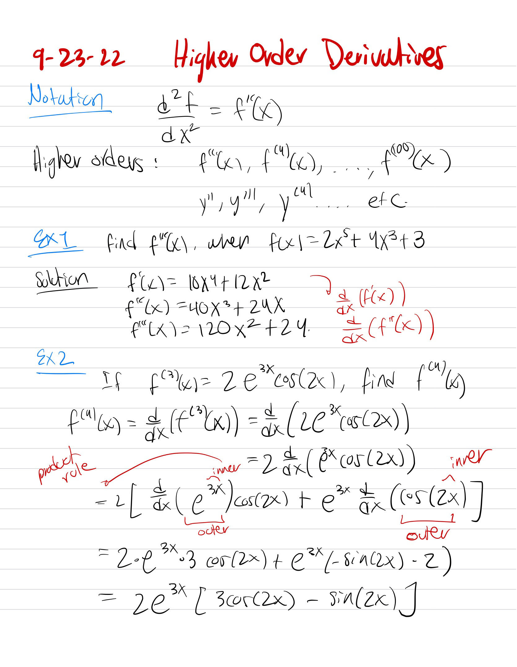
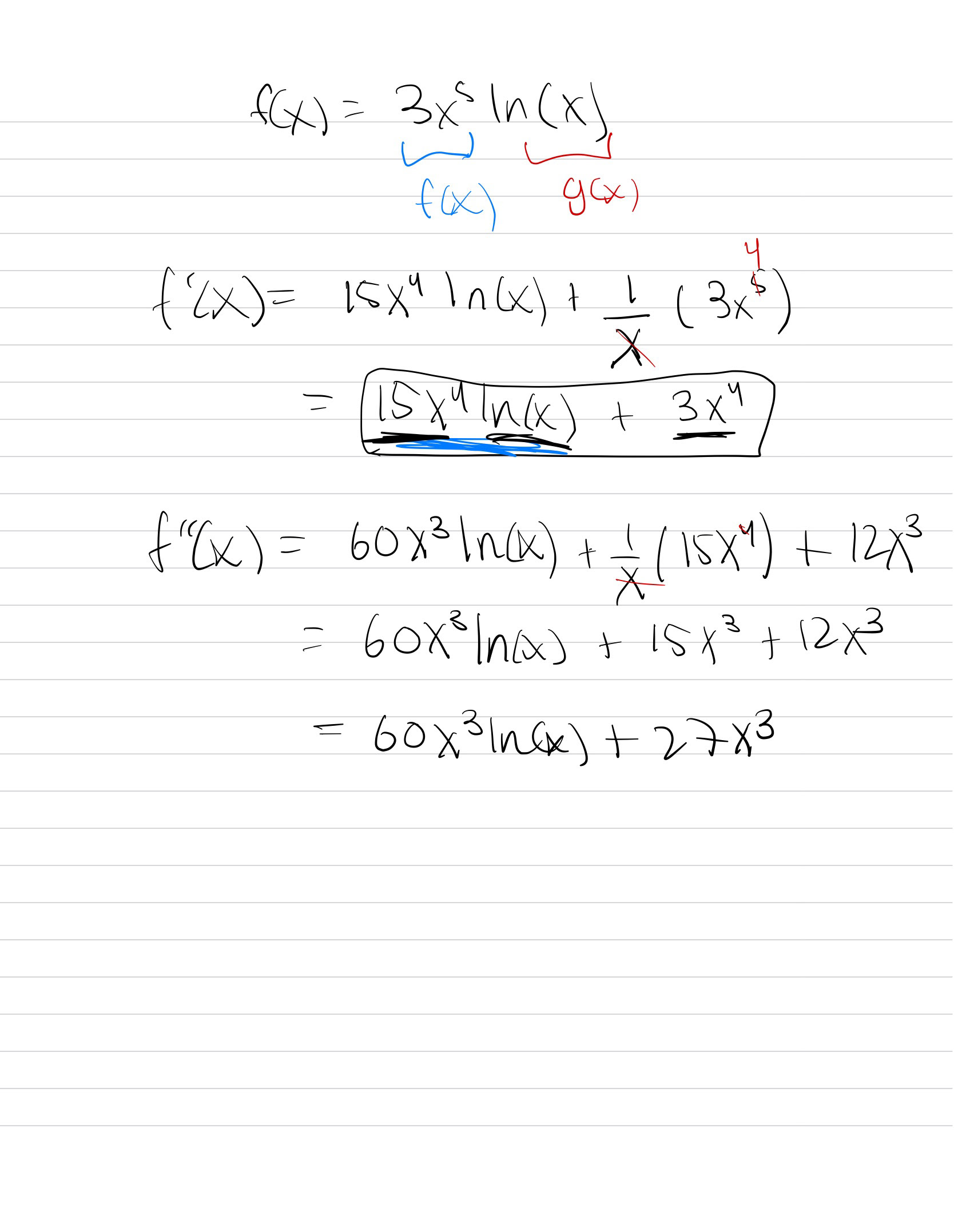
Lesson12-Higher Order Derivatives
↑
Back to Top