About Me
Writing
Mentoring + Service
Contact
About Me
Writing
Mentoring + Service
Contact
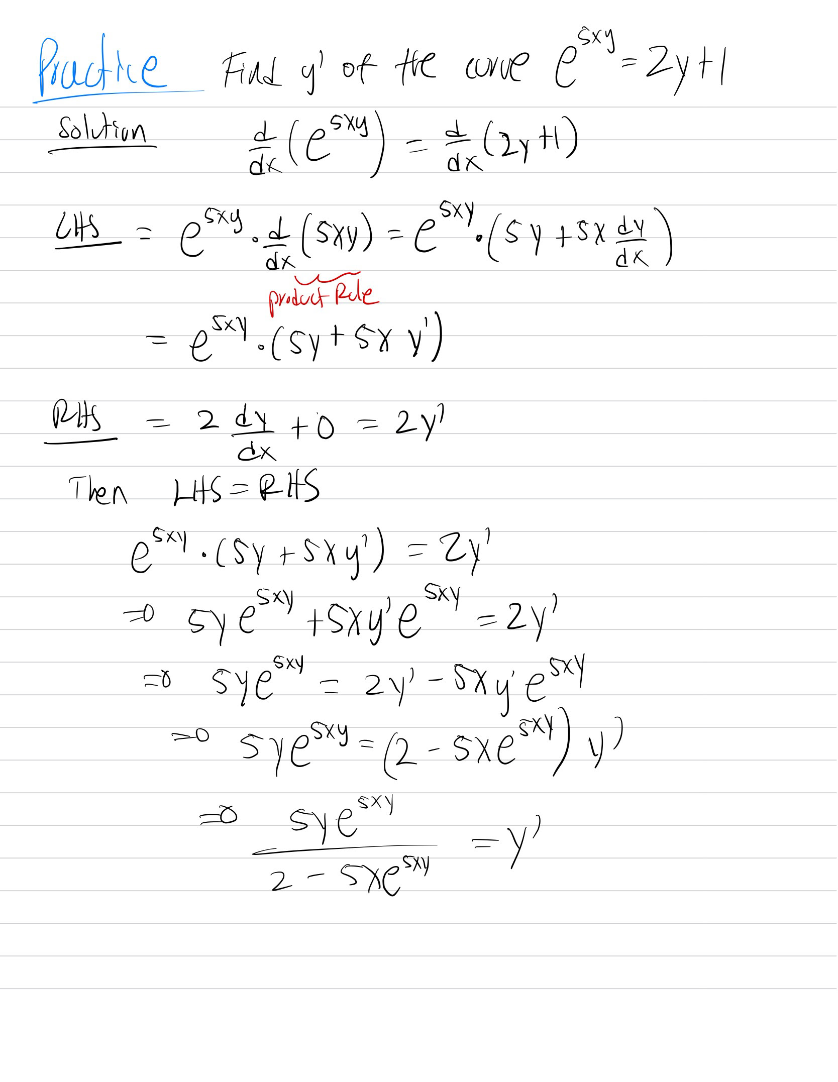
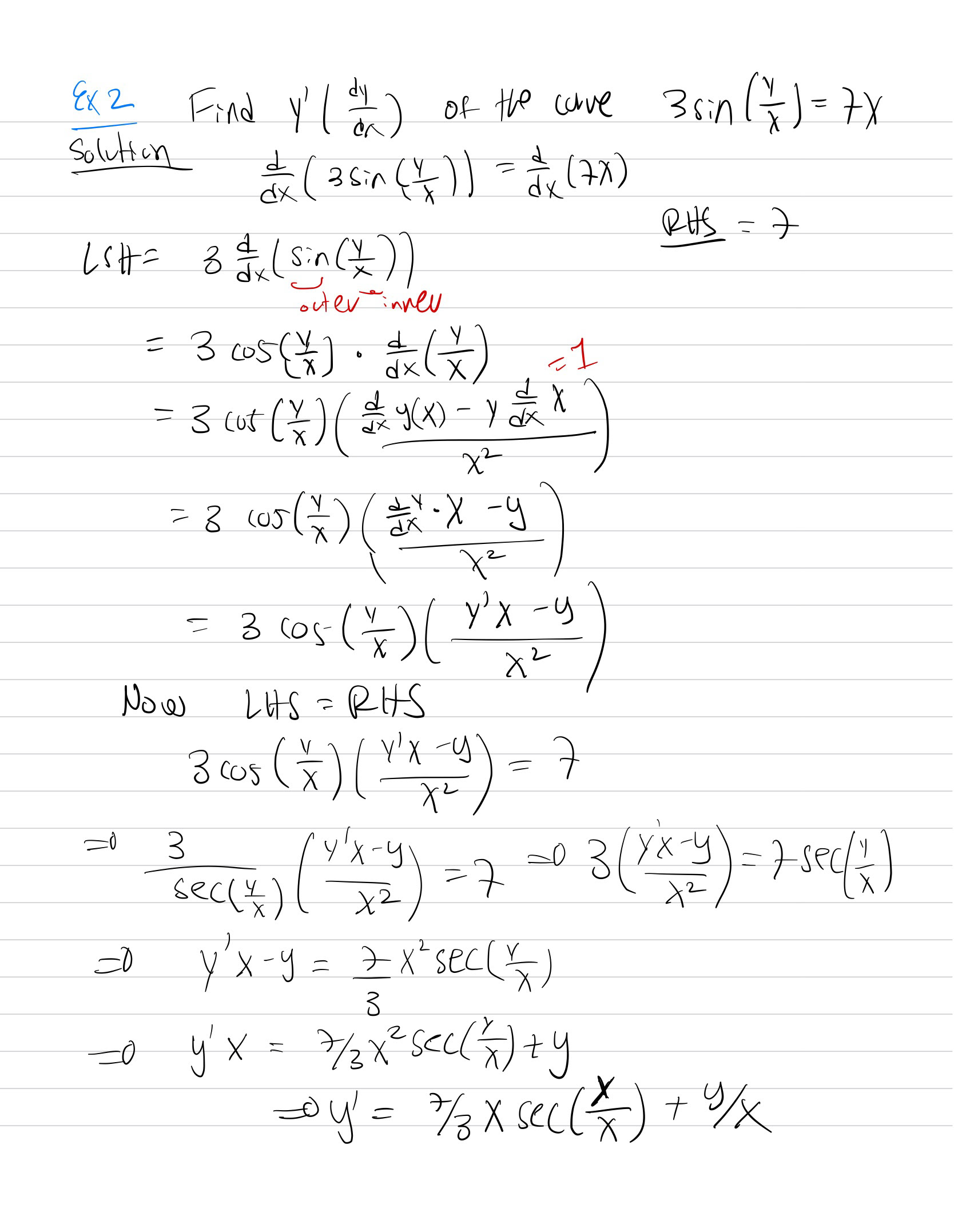
Lesson13-Implicit Differentiation
↑
Back to Top