About Me
Writing
Mentoring + Service
Contact
About Me
Writing
Mentoring + Service
Contact
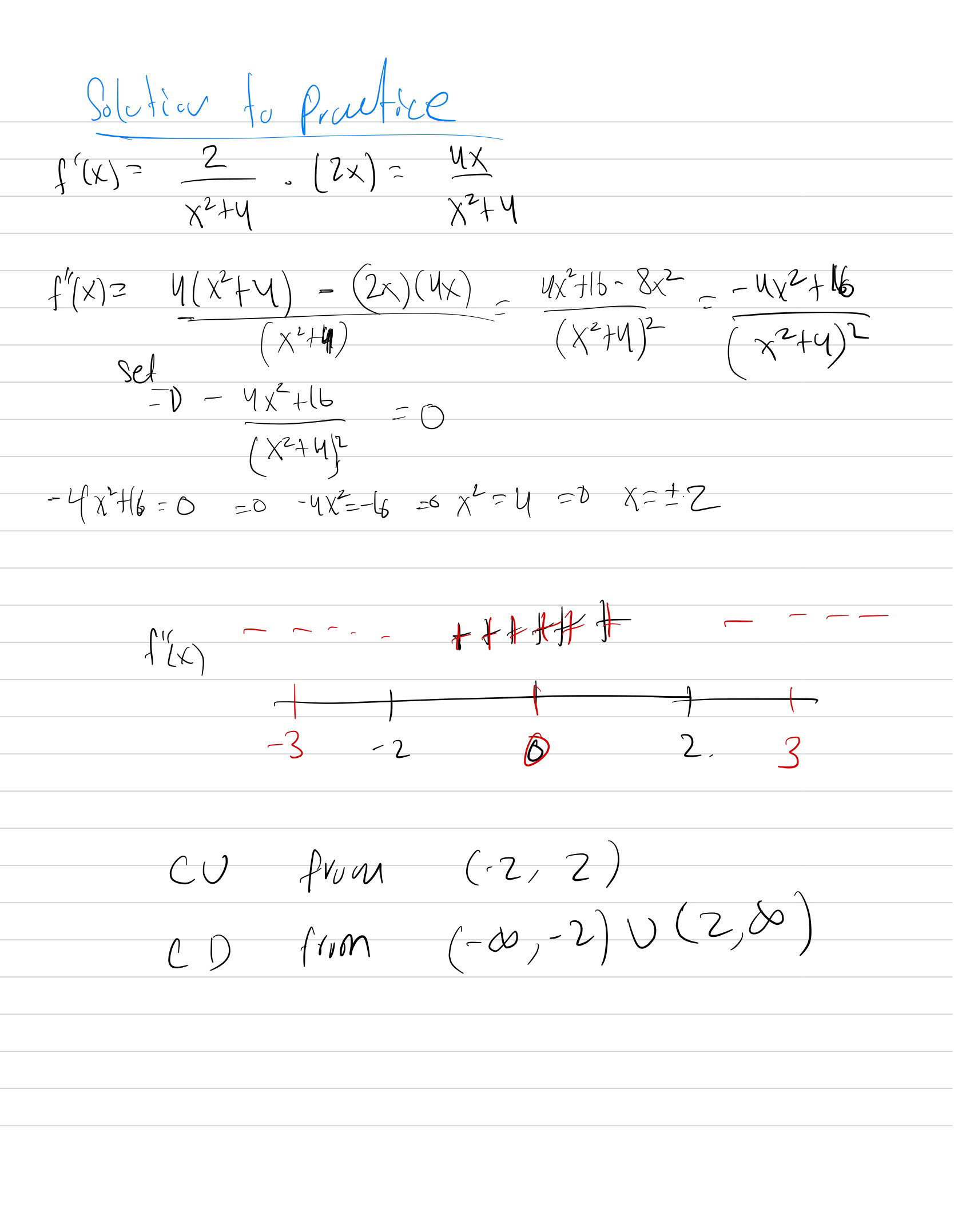
Lesson18-Concavity, Inflec Points & 2nd Derivativ Test
↑
Back to Top