About Me
Writing
Mentoring + Service
Contact
About Me
Writing
Mentoring + Service
Contact
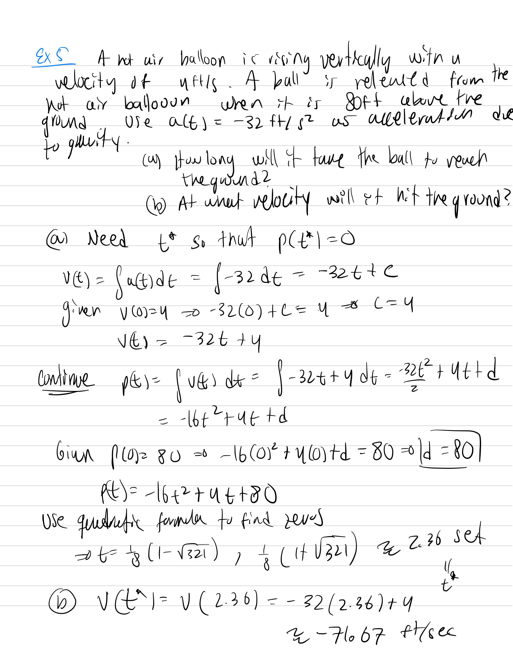
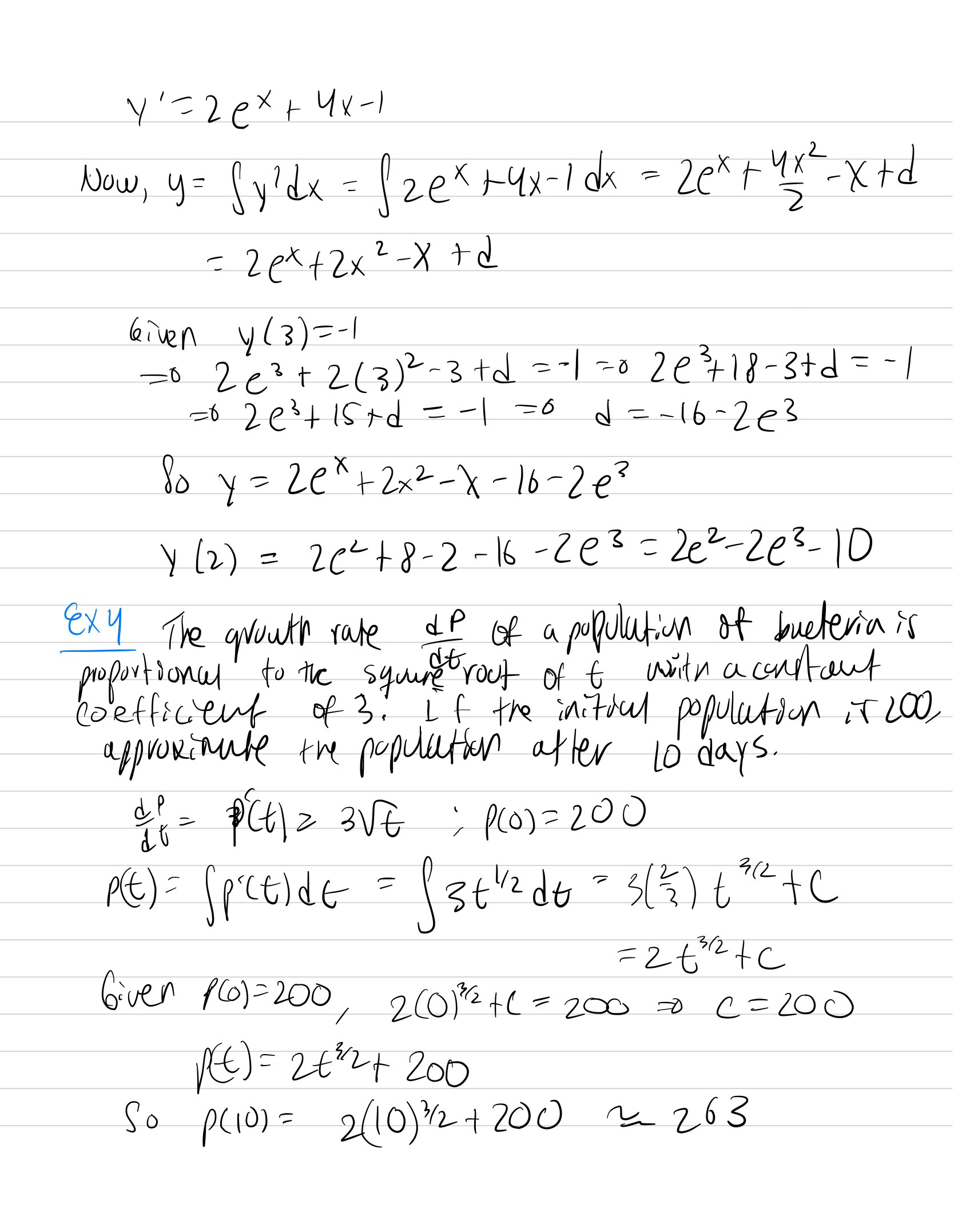
Lesson27-Antiderivatives &Indefinite Integr Part II
↑
Back to Top