About Me
  • Writing
Mentoring + Service
Contact
Victoria Rubio
About Me
  • Writing
Mentoring + Service
Contact

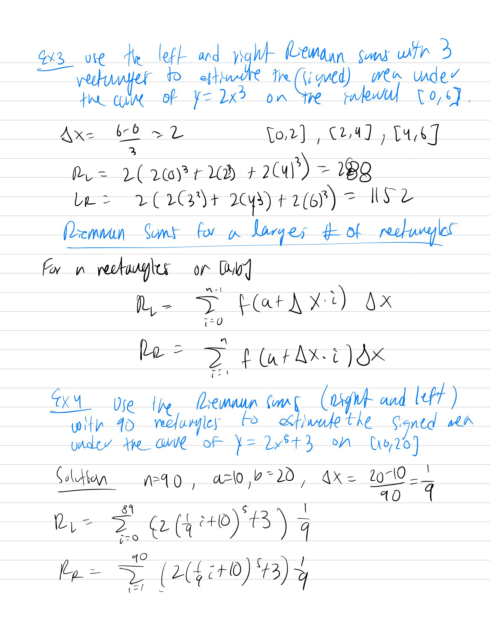
Lesson28-Area and Riemann Sums

↑Back to Top
Powered by Adobe Portfolio