About Me
Writing
Mentoring + Service
Contact
About Me
Writing
Mentoring + Service
Contact
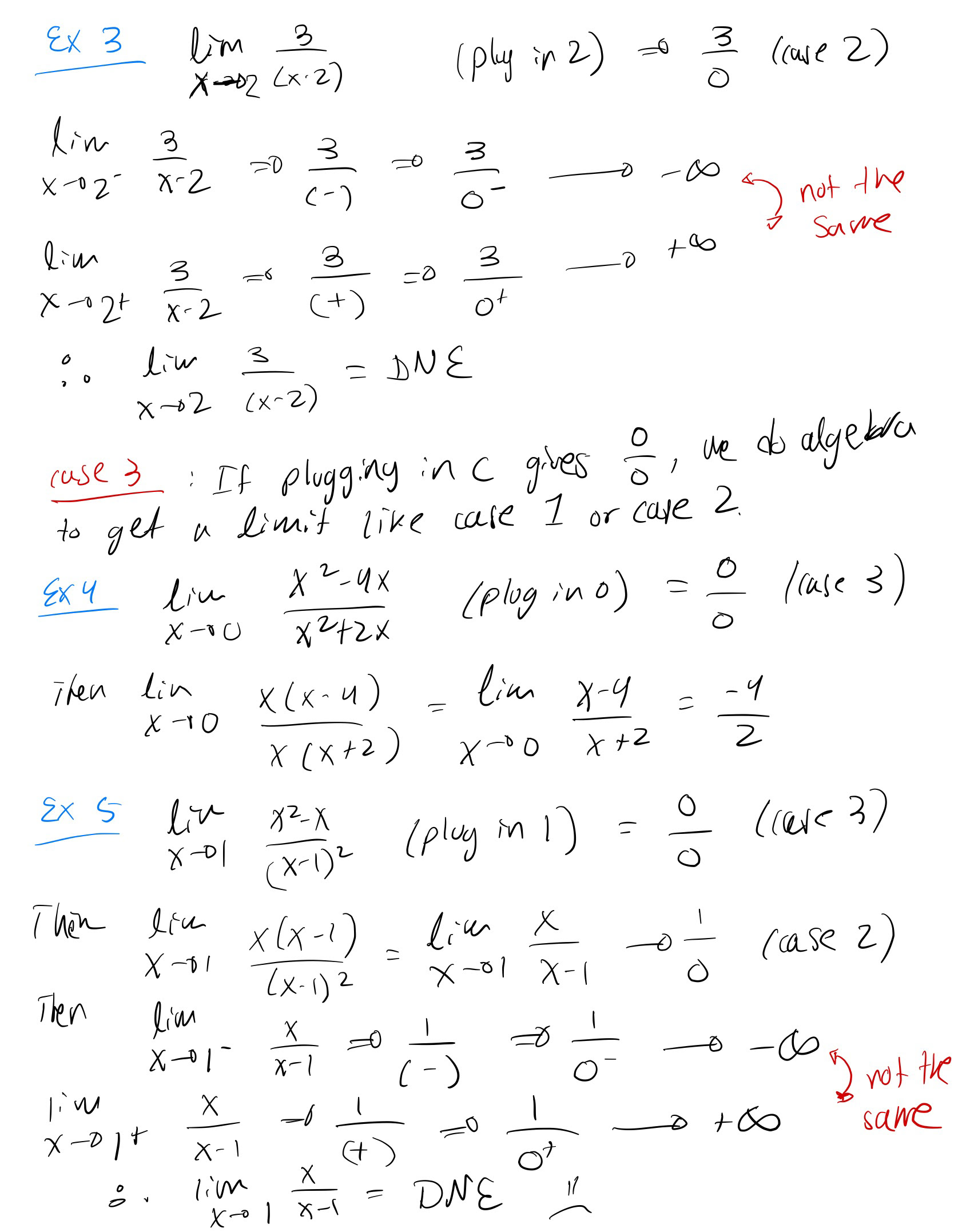
Lesson3-Finding Limits Analytically
↑
Back to Top