About Me
Writing
Mentoring + Service
Contact
About Me
Writing
Mentoring + Service
Contact
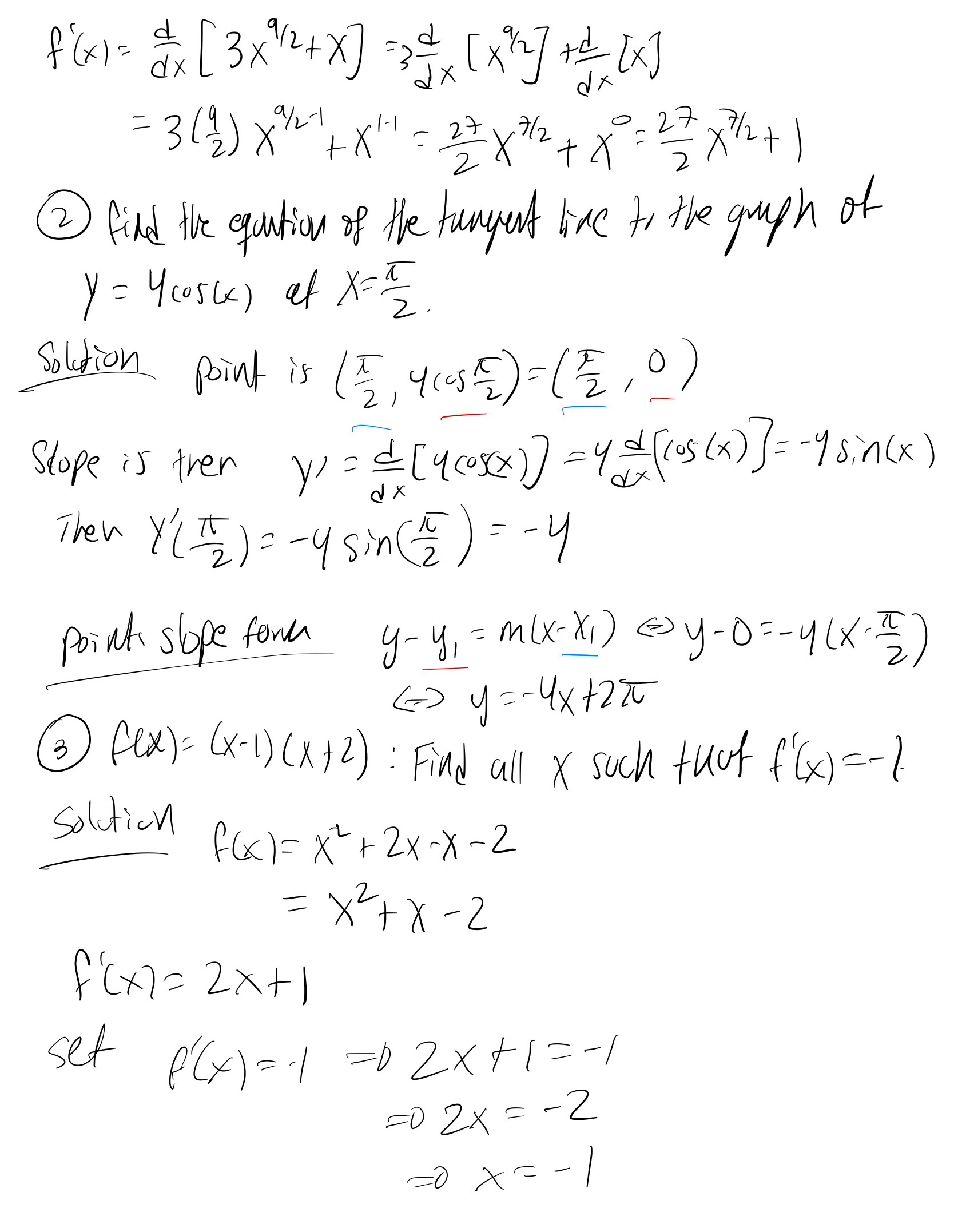
Lesson6-Basic Rules of Differentiation
↑
Back to Top