About Me
Writing
Mentoring + Service
Contact
About Me
Writing
Mentoring + Service
Contact
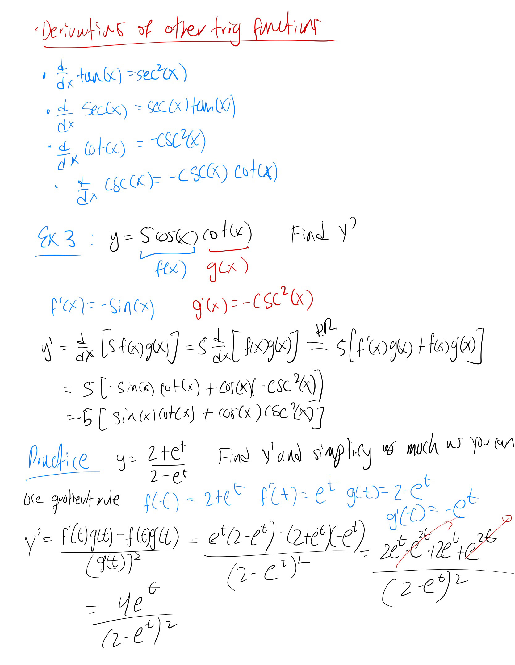
Lesson9-The Quotient Rule; Derivatives of Trig Funcs
↑
Back to Top