About Me
  • Writing
Mentoring + Service
Contact
Victoria Rubio
About Me
  • Writing
Mentoring + Service
Contact

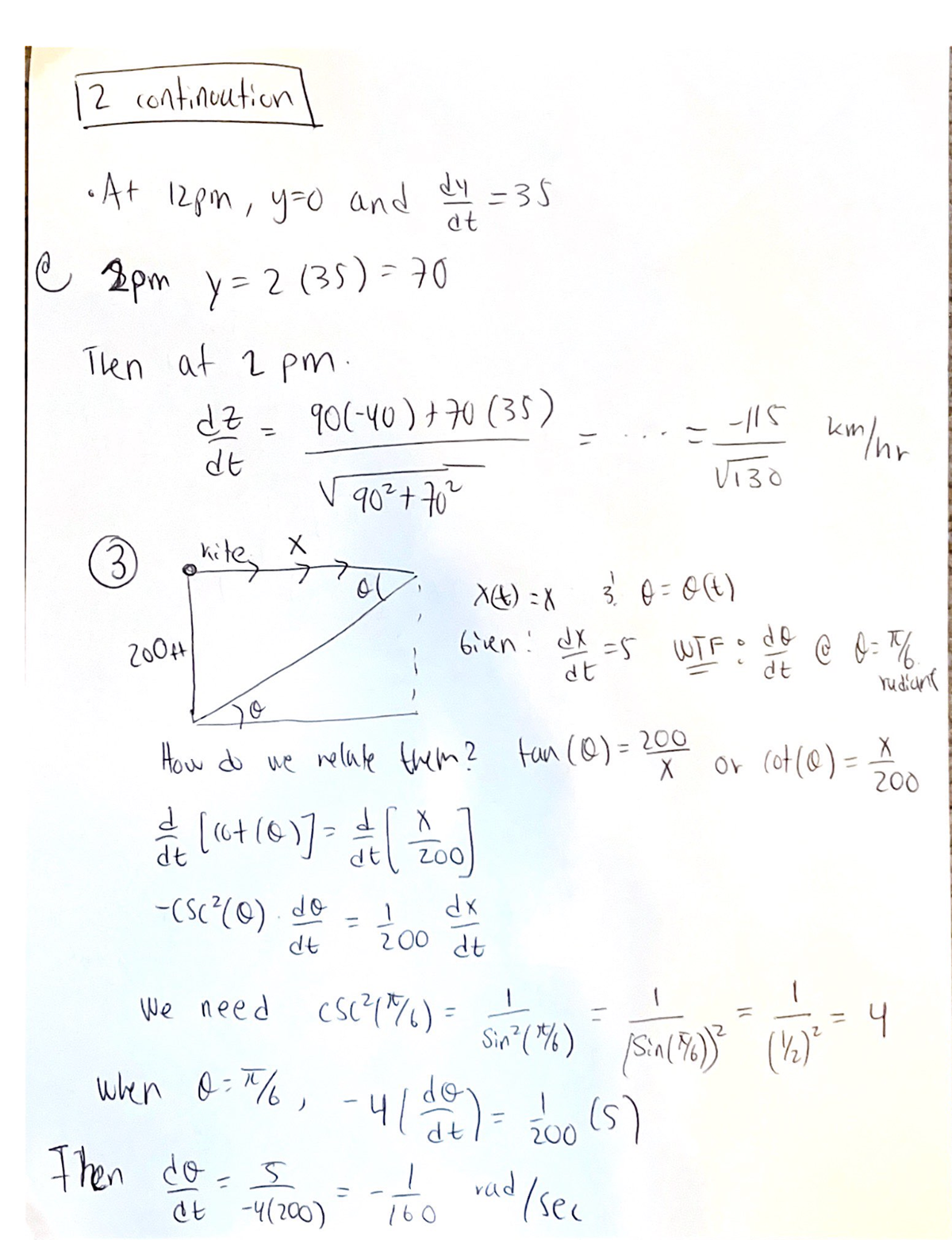
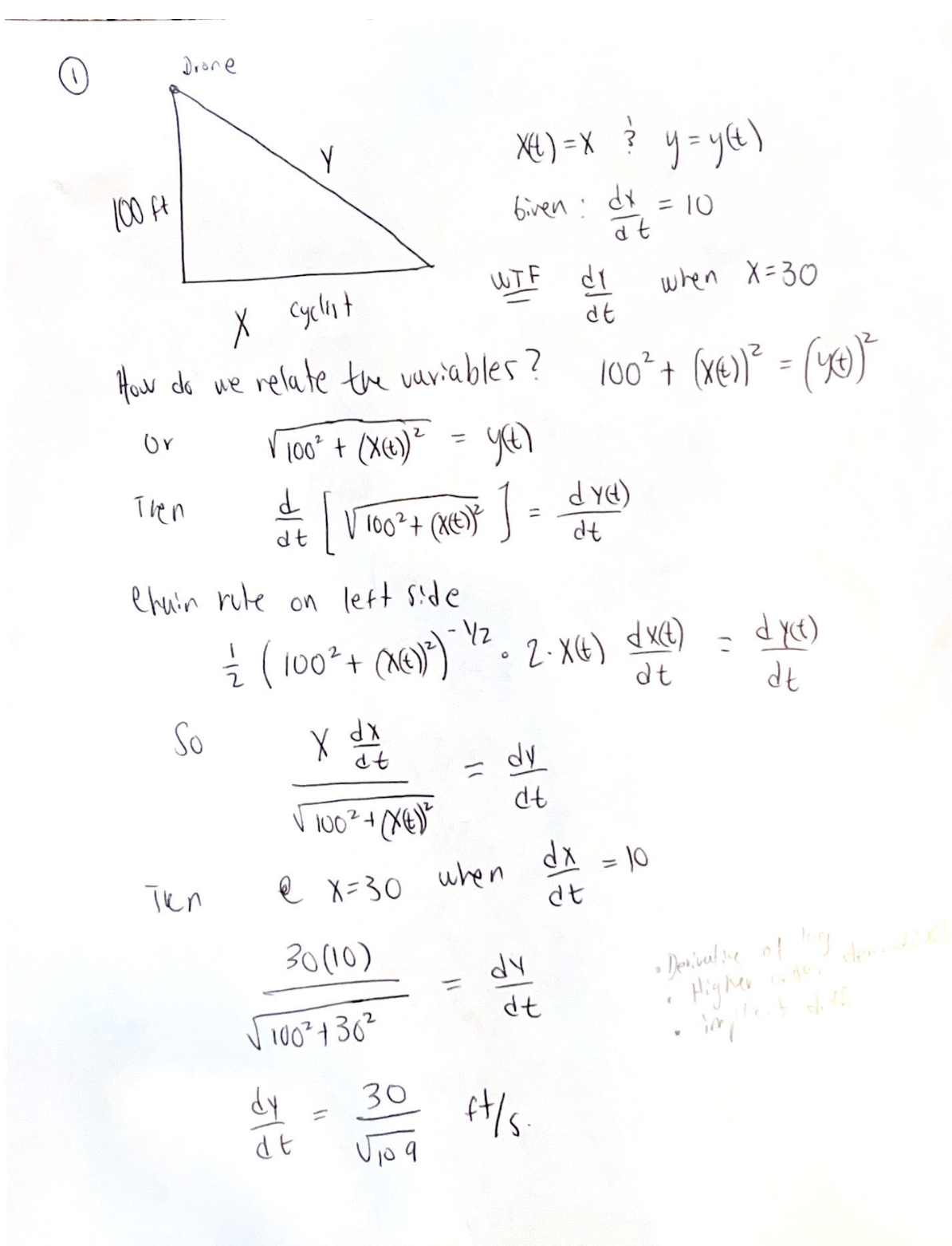
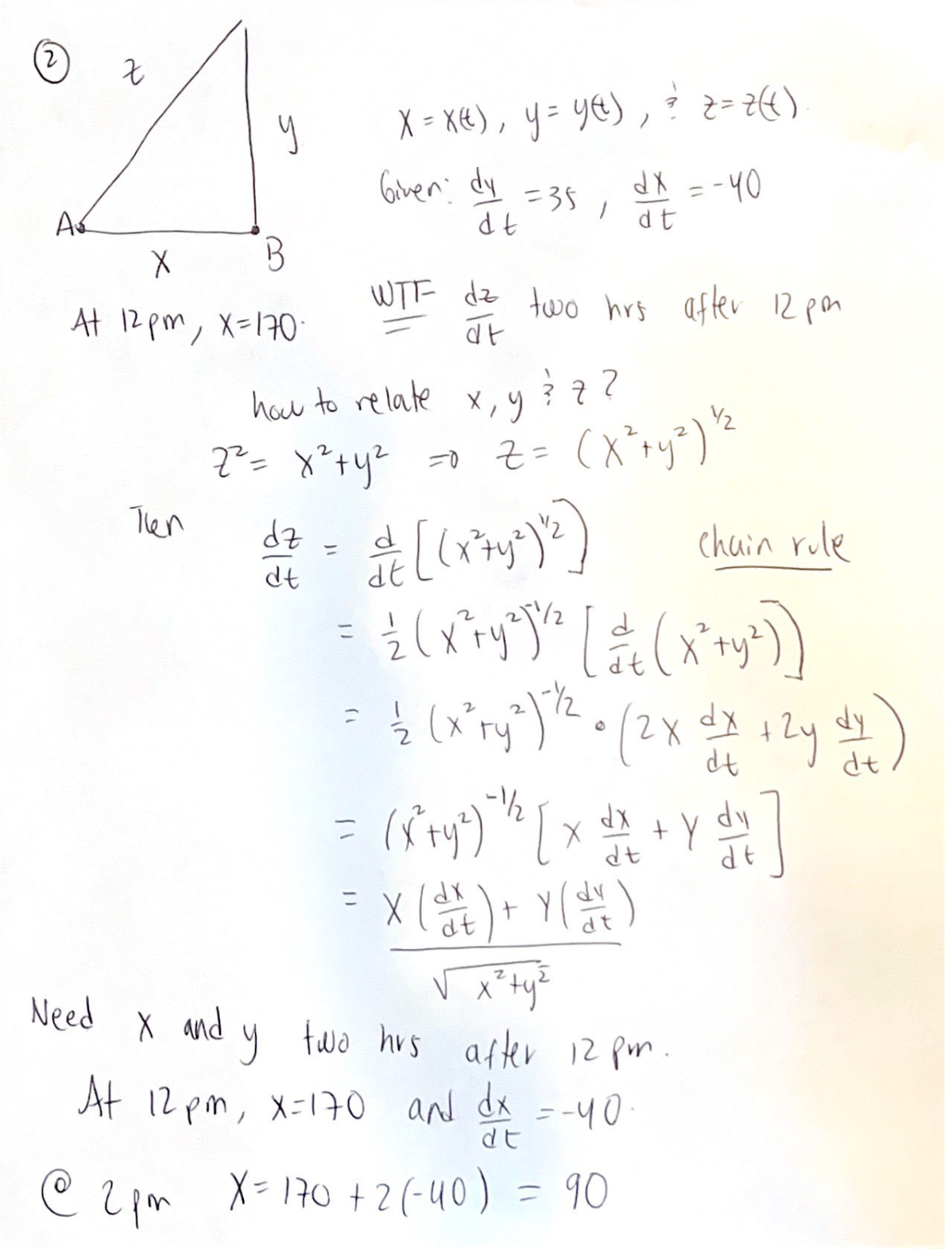
Lesson15-Related Rates II

↑Back to Top
Powered by Adobe Portfolio