About Me
Writing
Mentoring + Service
Contact
About Me
Writing
Mentoring + Service
Contact
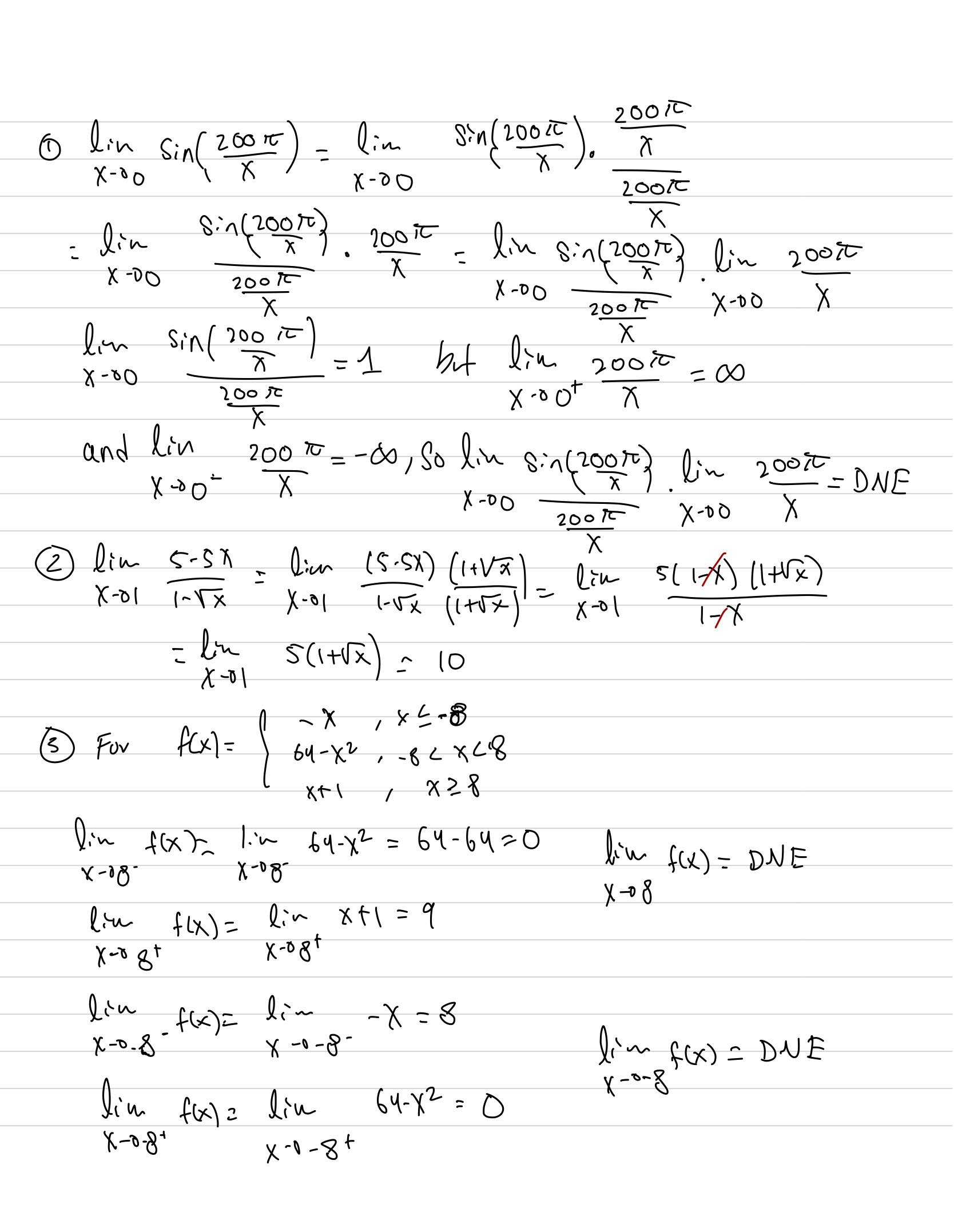
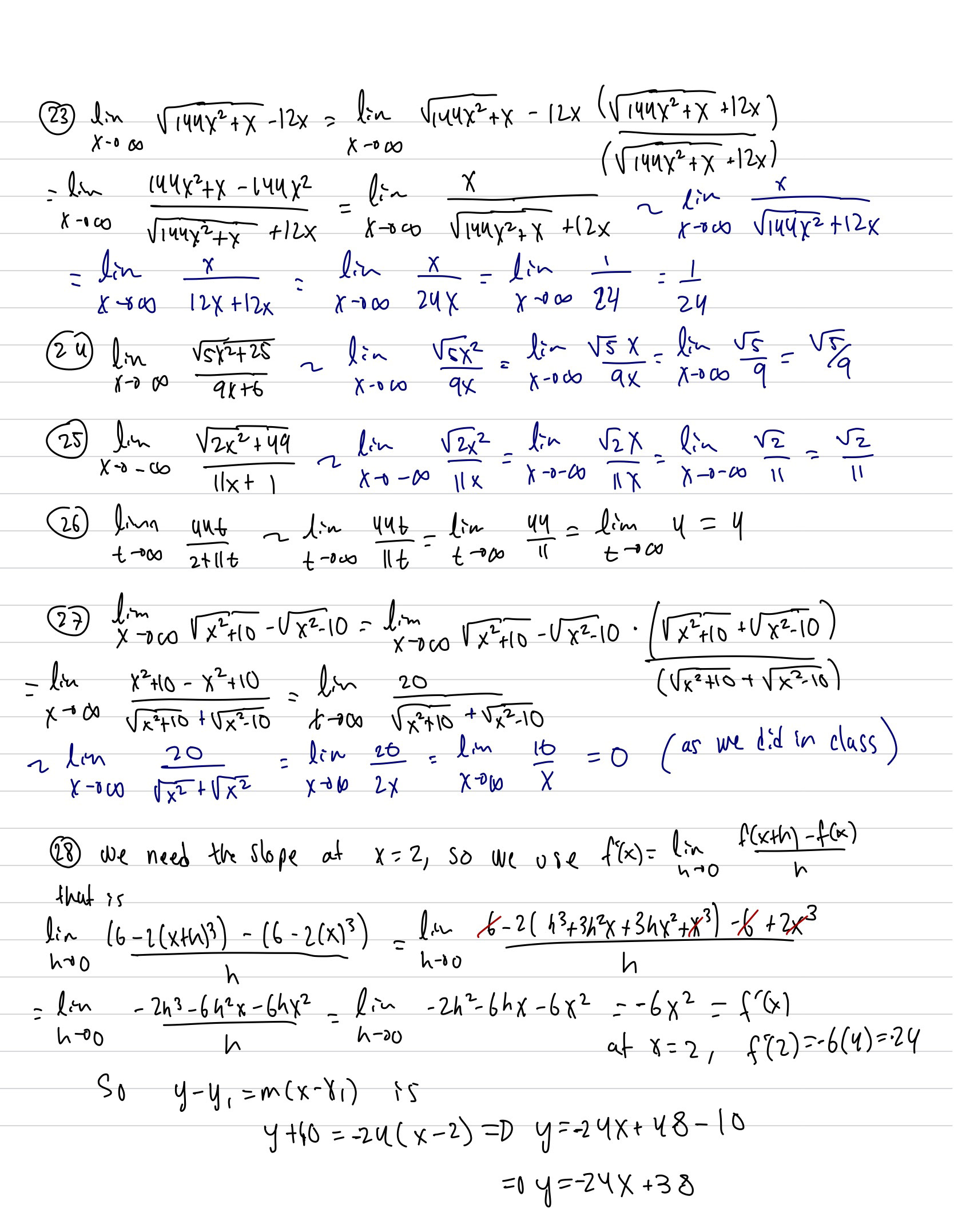
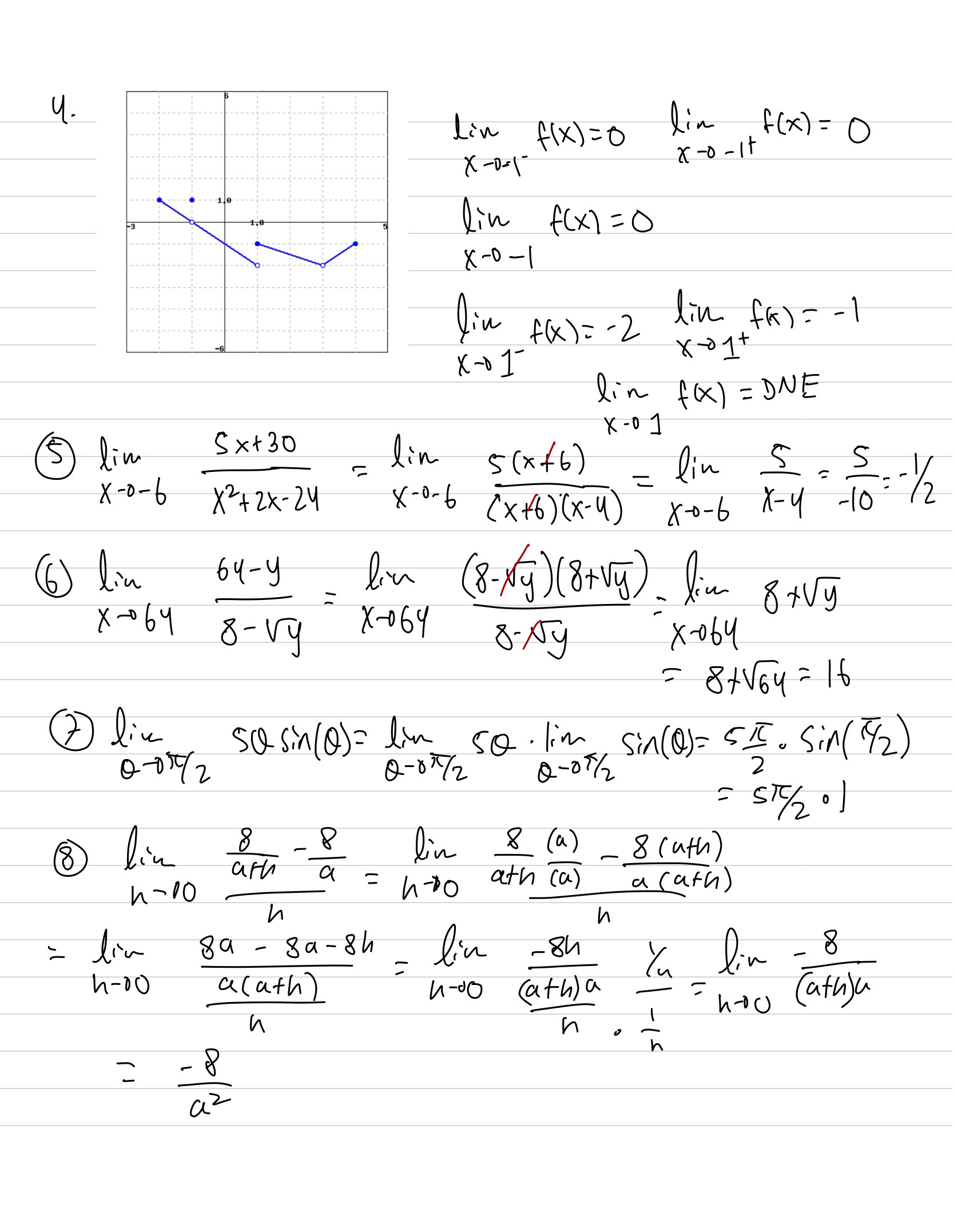
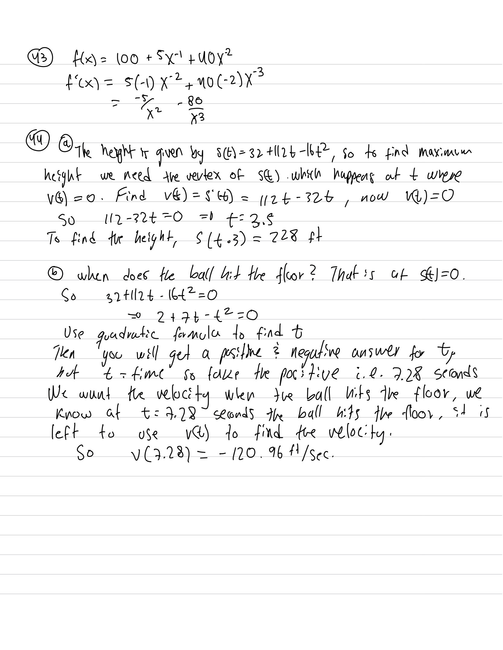
Solutions to Study Guide I-Exam 1
↑
Back to Top