About Me
  • Writing
Mentoring + Service
Contact
Victoria Rubio
About Me
  • Writing
Mentoring + Service
Contact

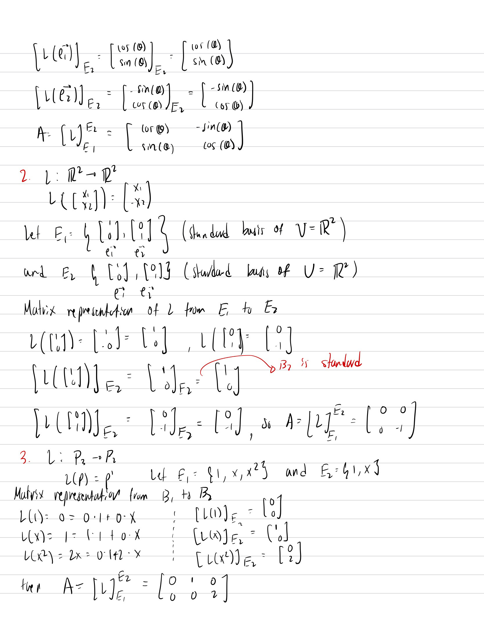
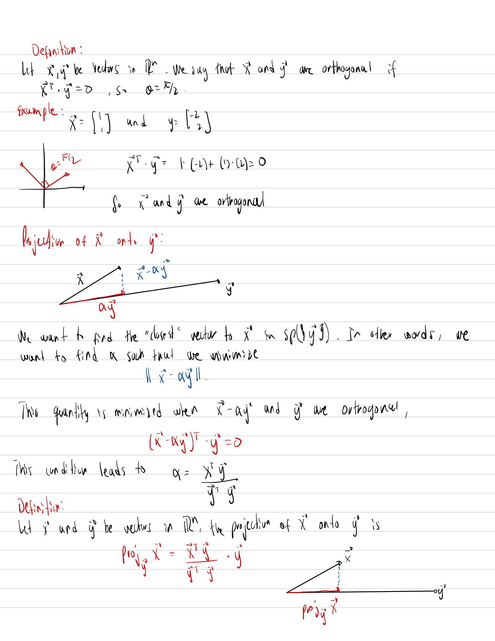
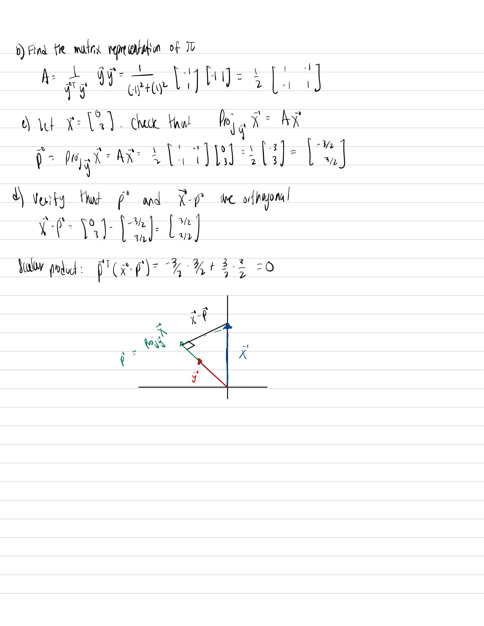
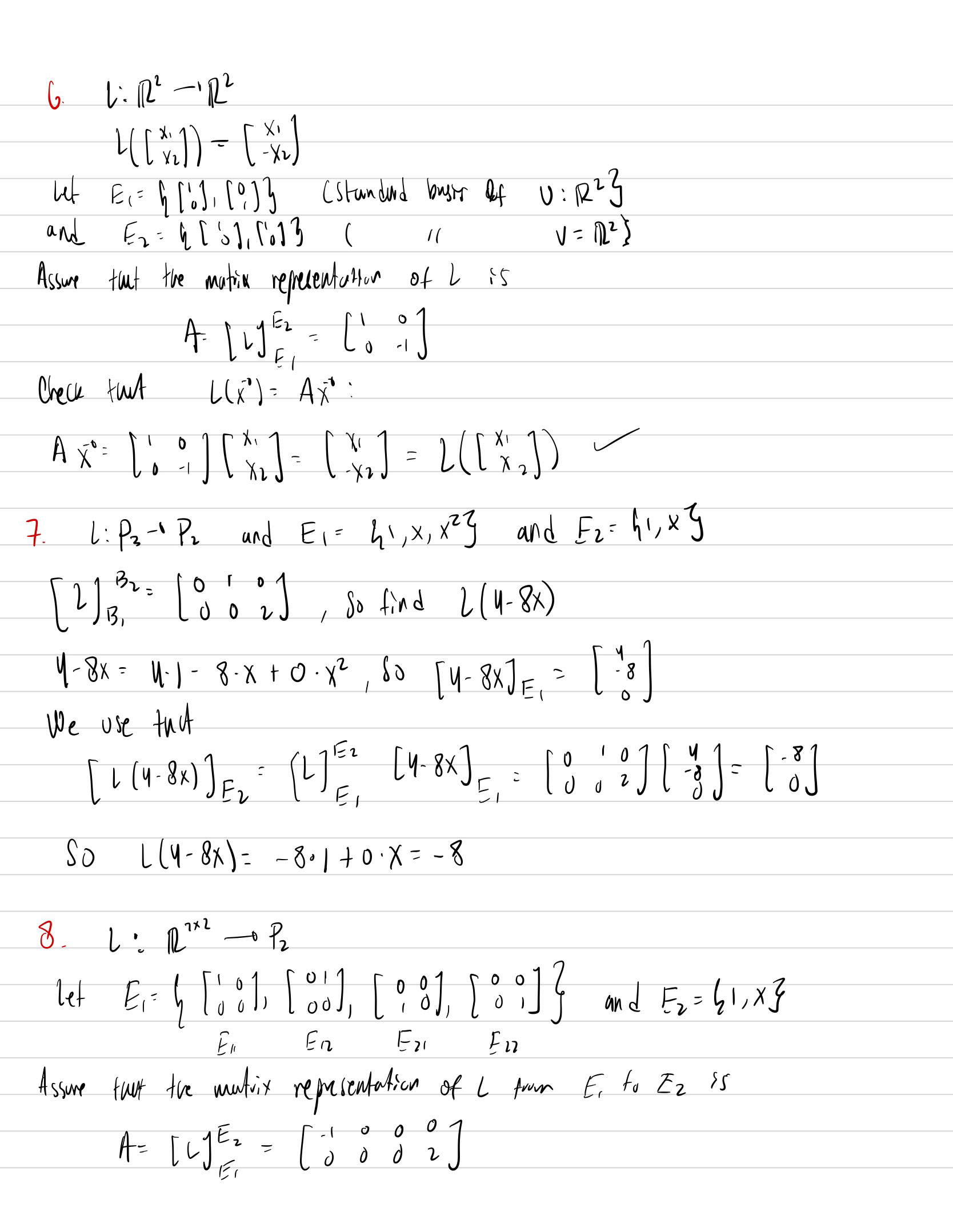
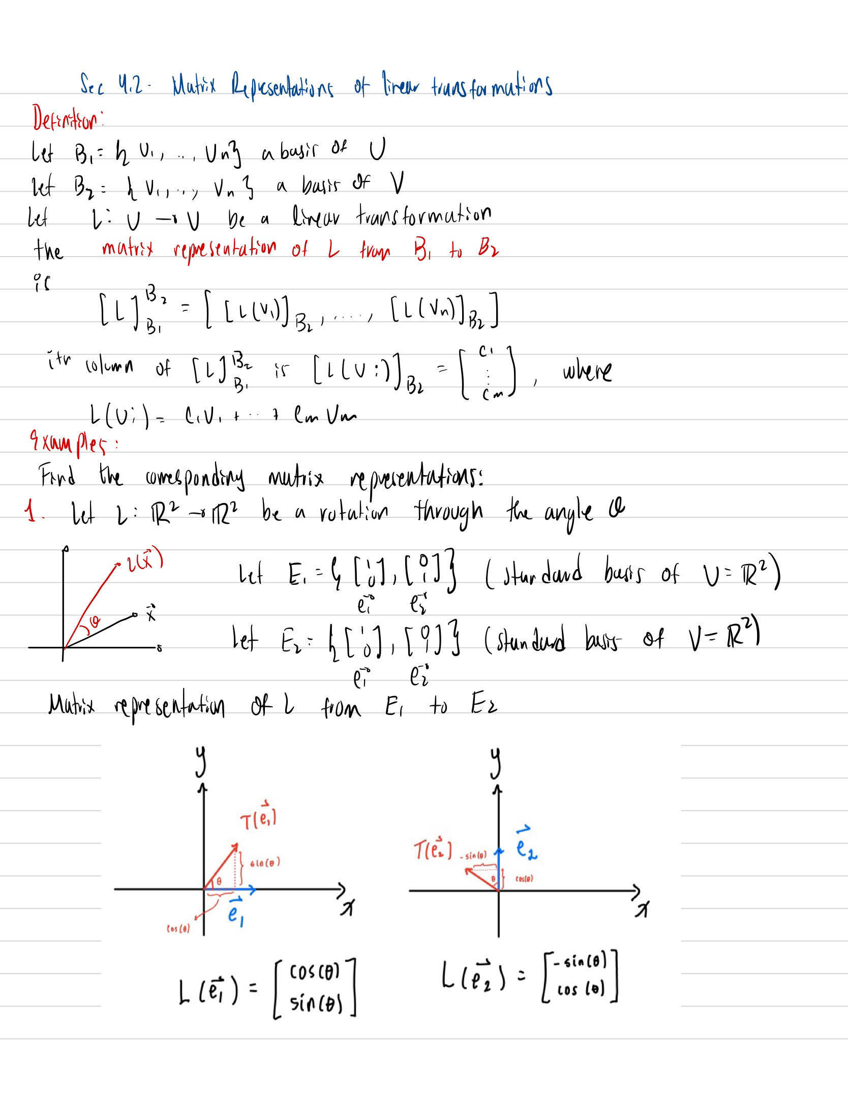
Week 10-Sec 4.2 & Sec 5.1

↑Back to Top
Powered by Adobe Portfolio