About Me
  • Writing
Mentoring + Service
Contact
Victoria Rubio
About Me
  • Writing
Mentoring + Service
Contact

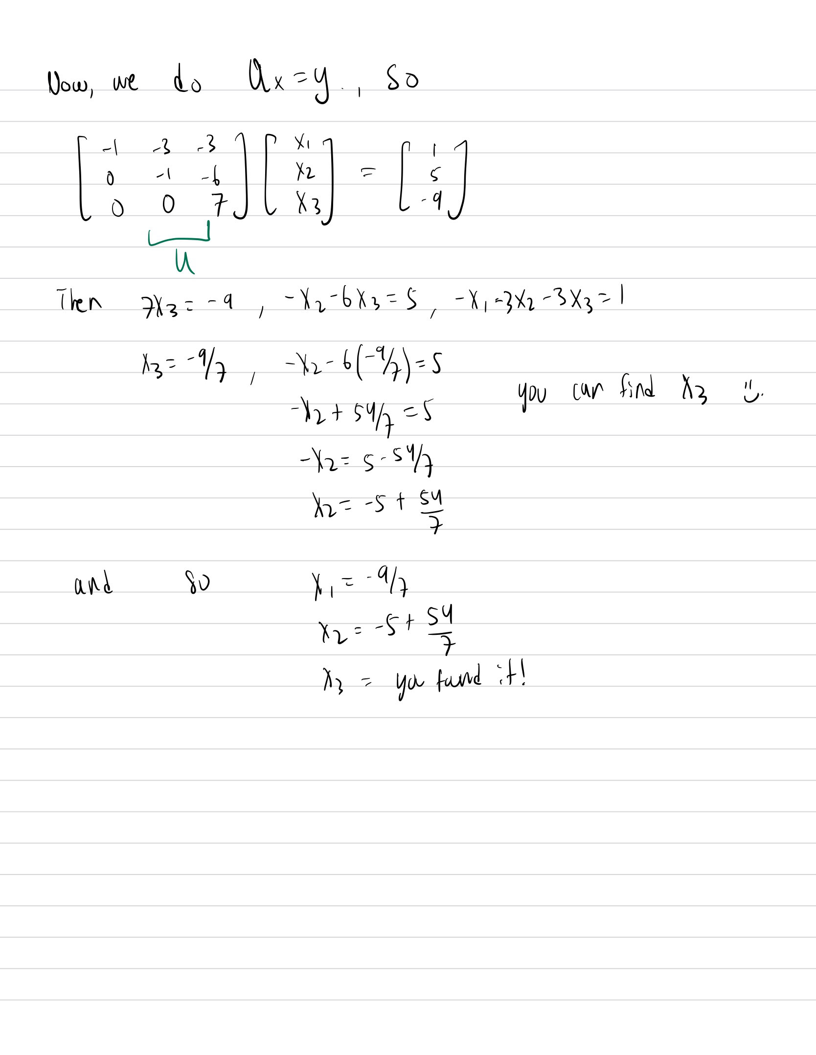
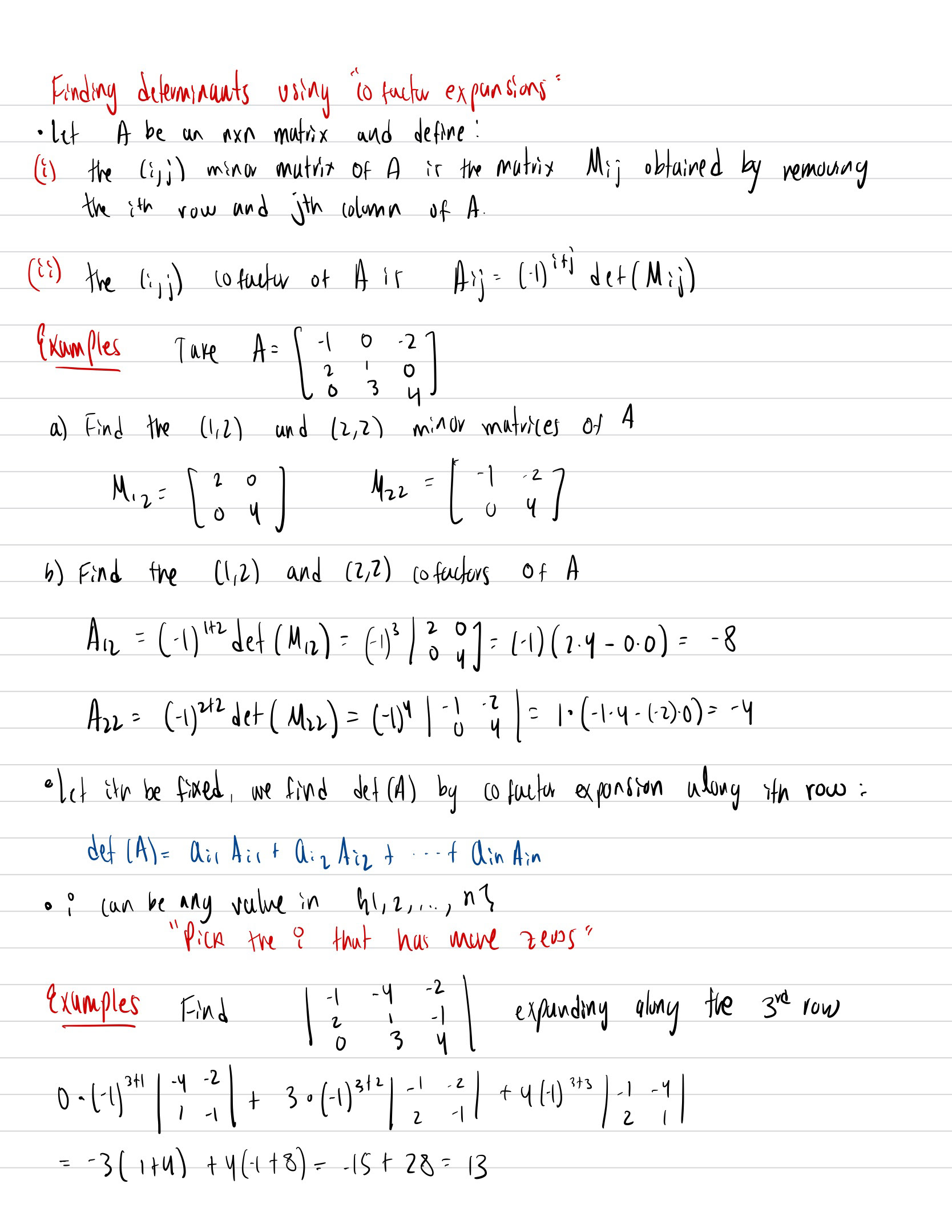
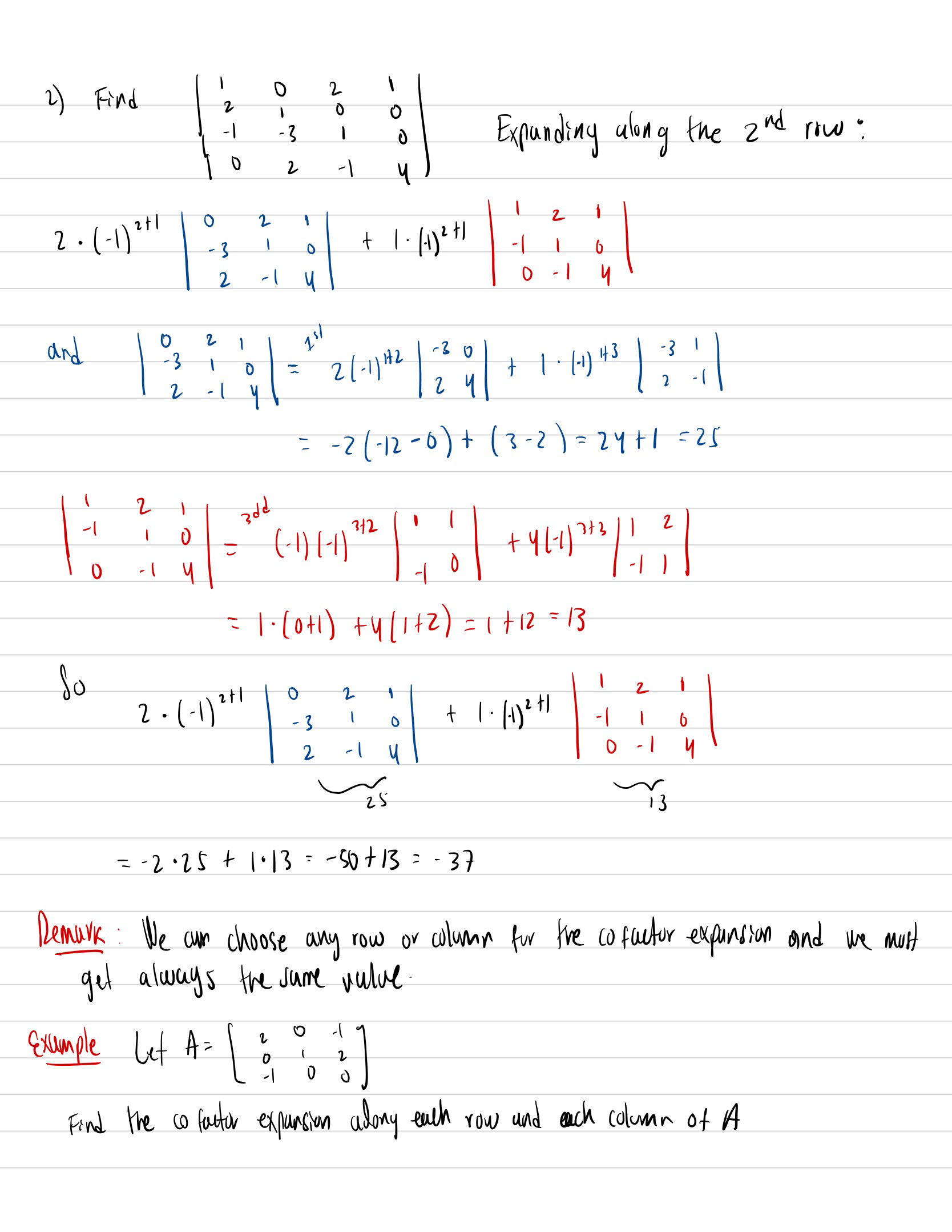
Week 3-Sec 1.5 & 2.1

↑Back to Top
Powered by Adobe Portfolio