About Me
  • Writing
Mentoring + Service
Contact
Victoria Rubio
About Me
  • Writing
Mentoring + Service
Contact

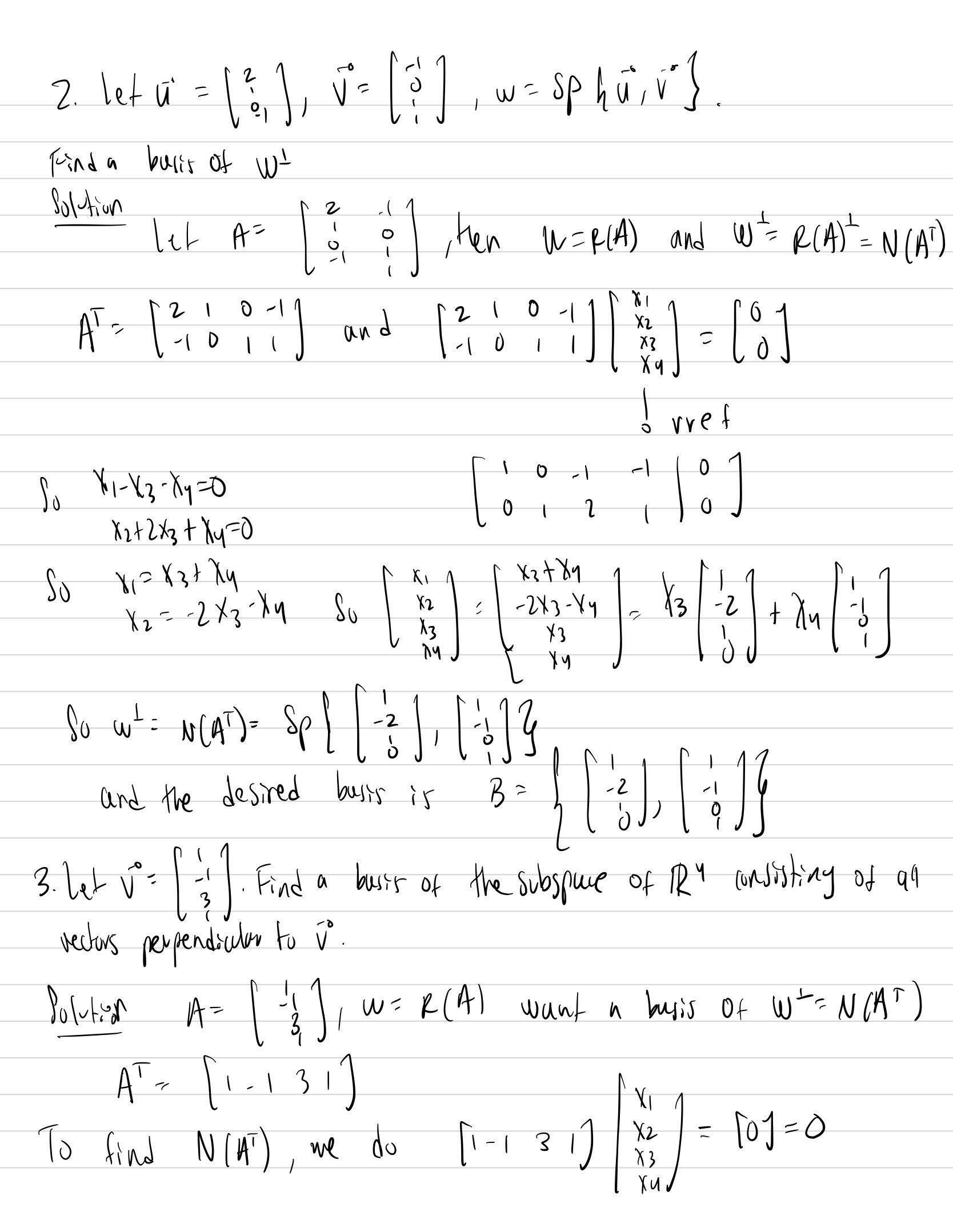
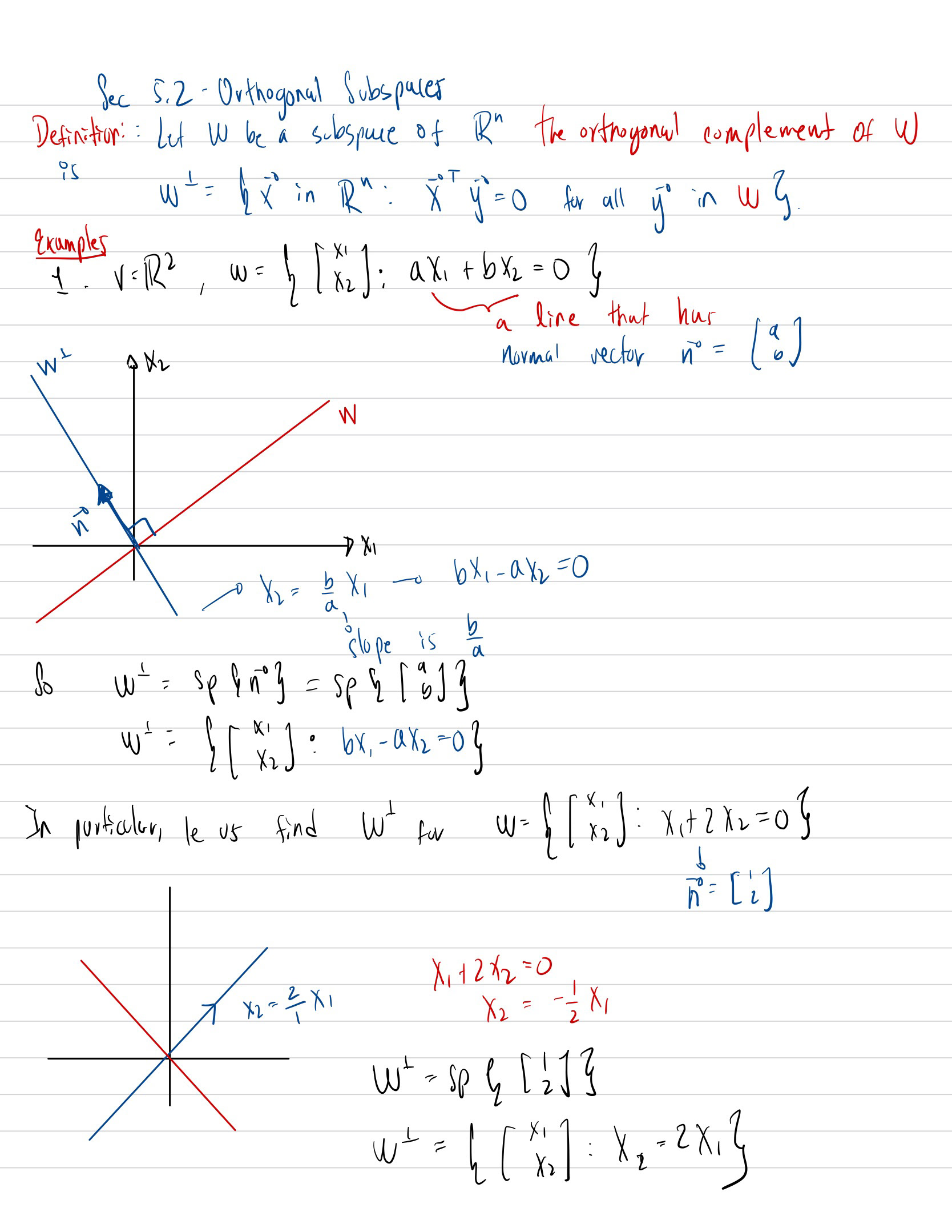
Week11- Sec 5.2 & Sec 5.3

↑Back to Top
Powered by Adobe Portfolio