About Me
  • Writing
Mentoring + Service
Contact
Victoria Rubio
About Me
  • Writing
Mentoring + Service
Contact

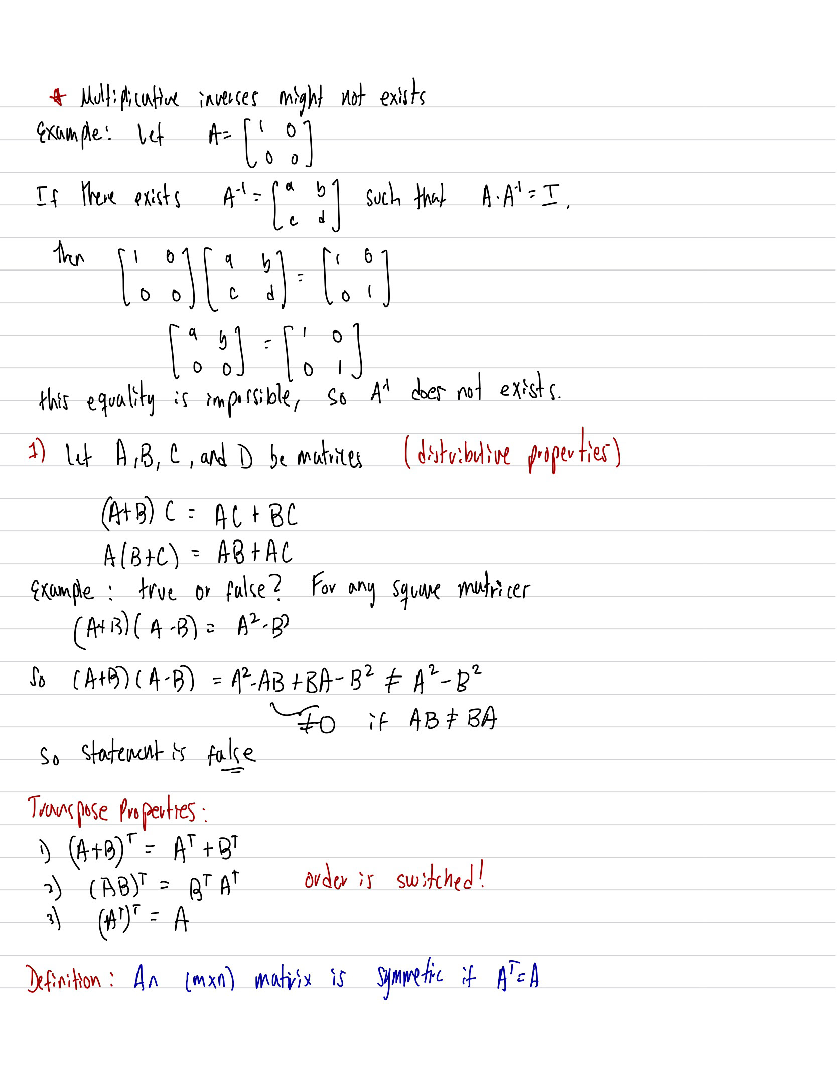
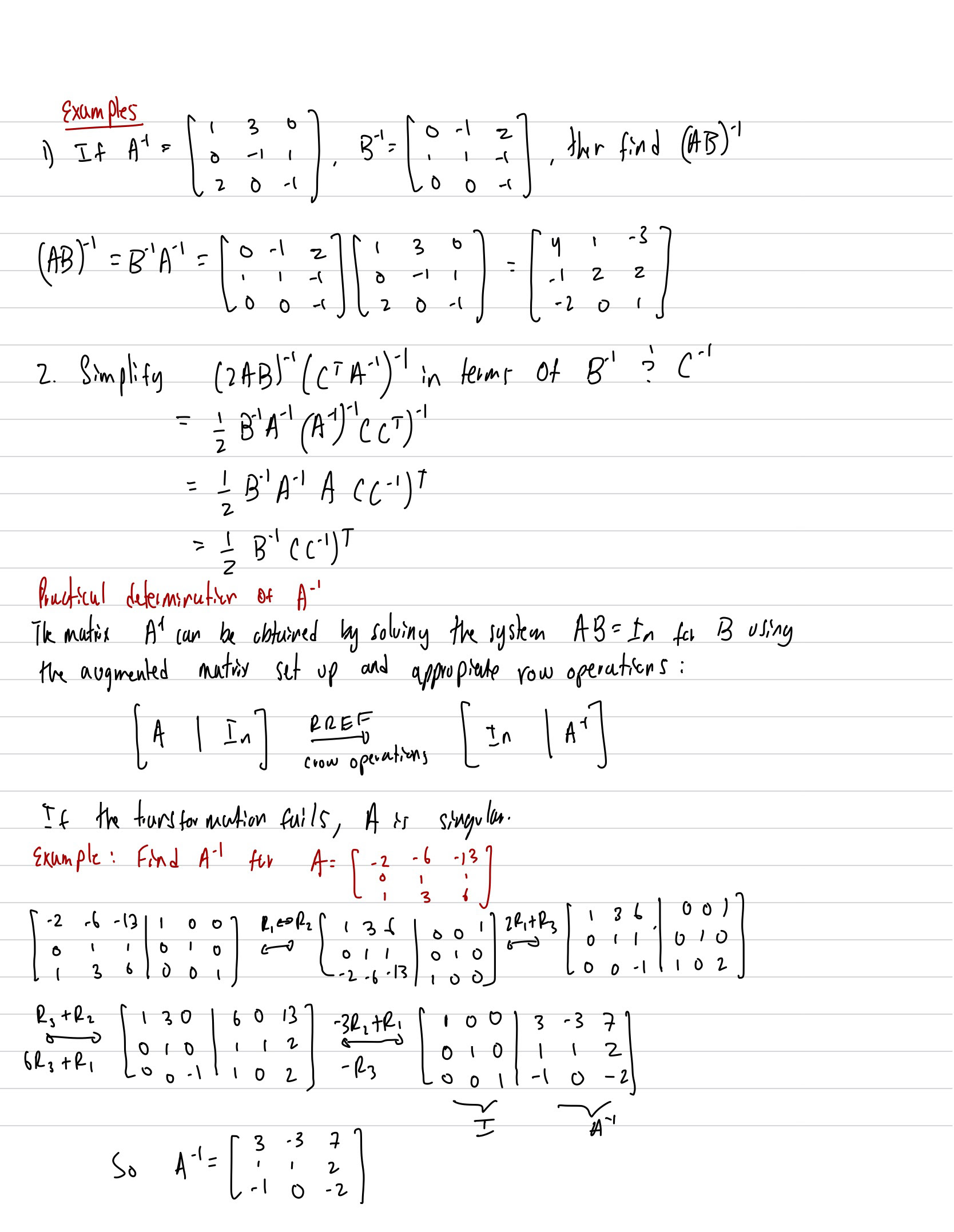
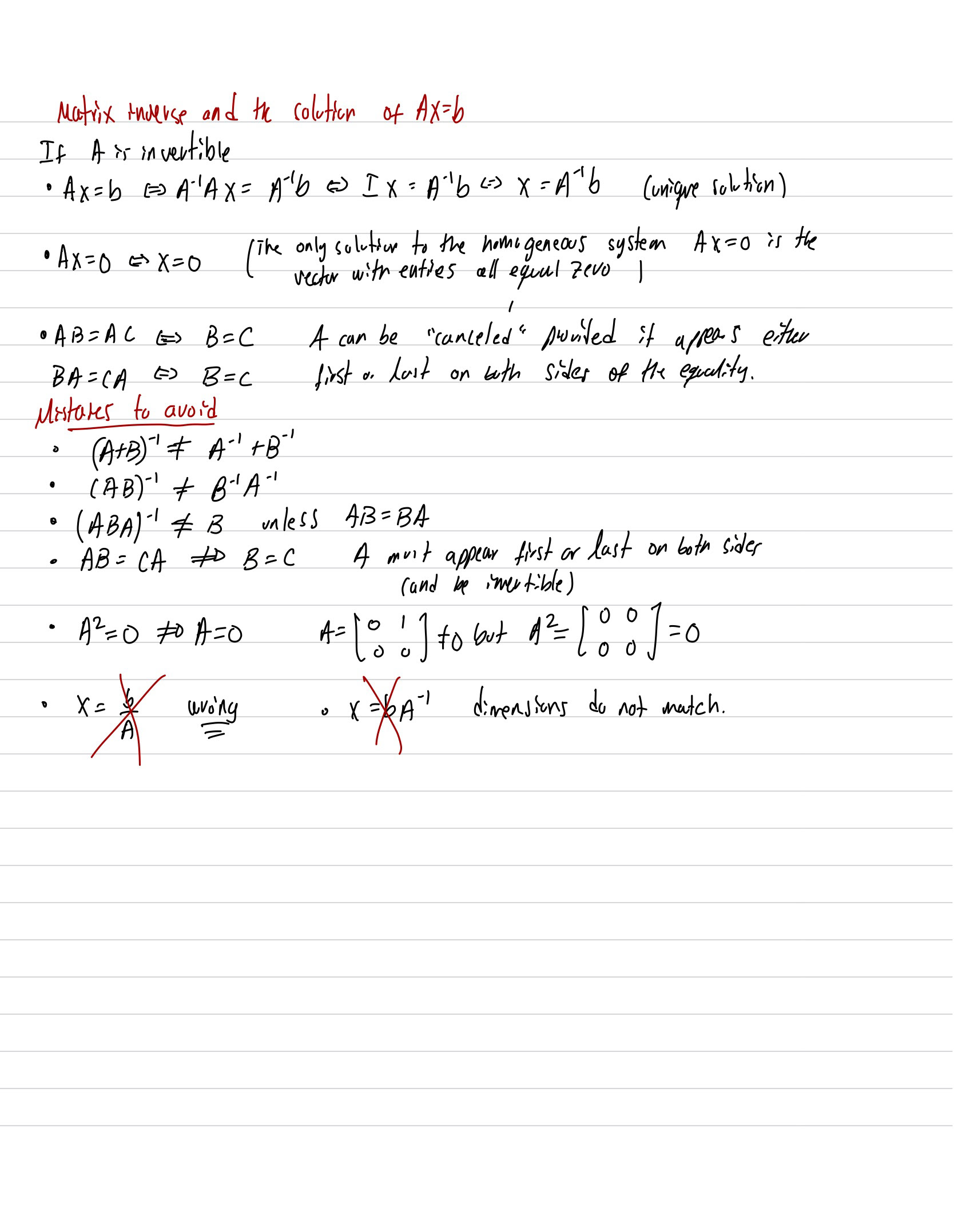
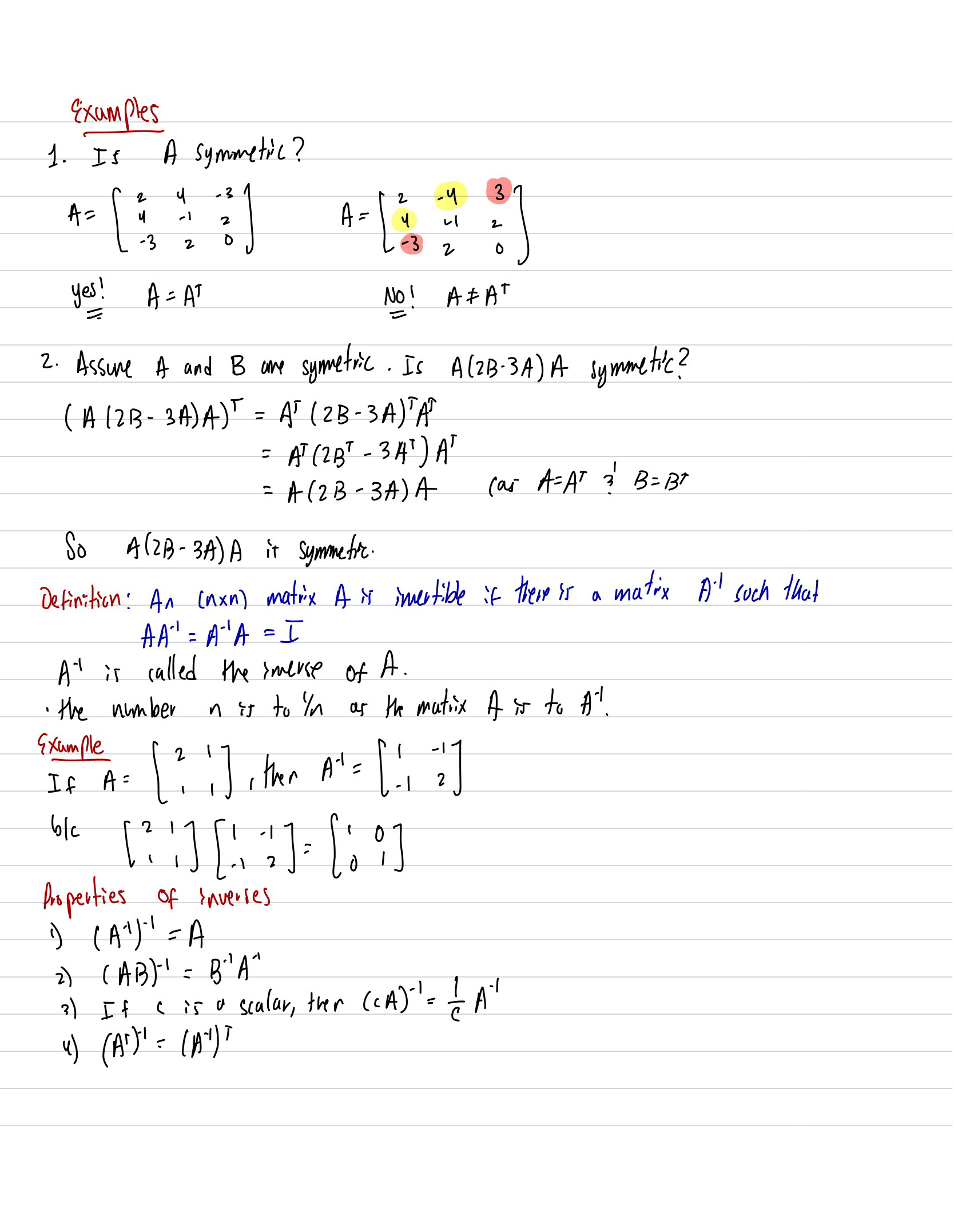
Week2-Sec 1.3 & 1.4

↑Back to Top
Powered by Adobe Portfolio