About Me
  • Writing
Mentoring + Service
Contact
Victoria Rubio
About Me
  • Writing
Mentoring + Service
Contact

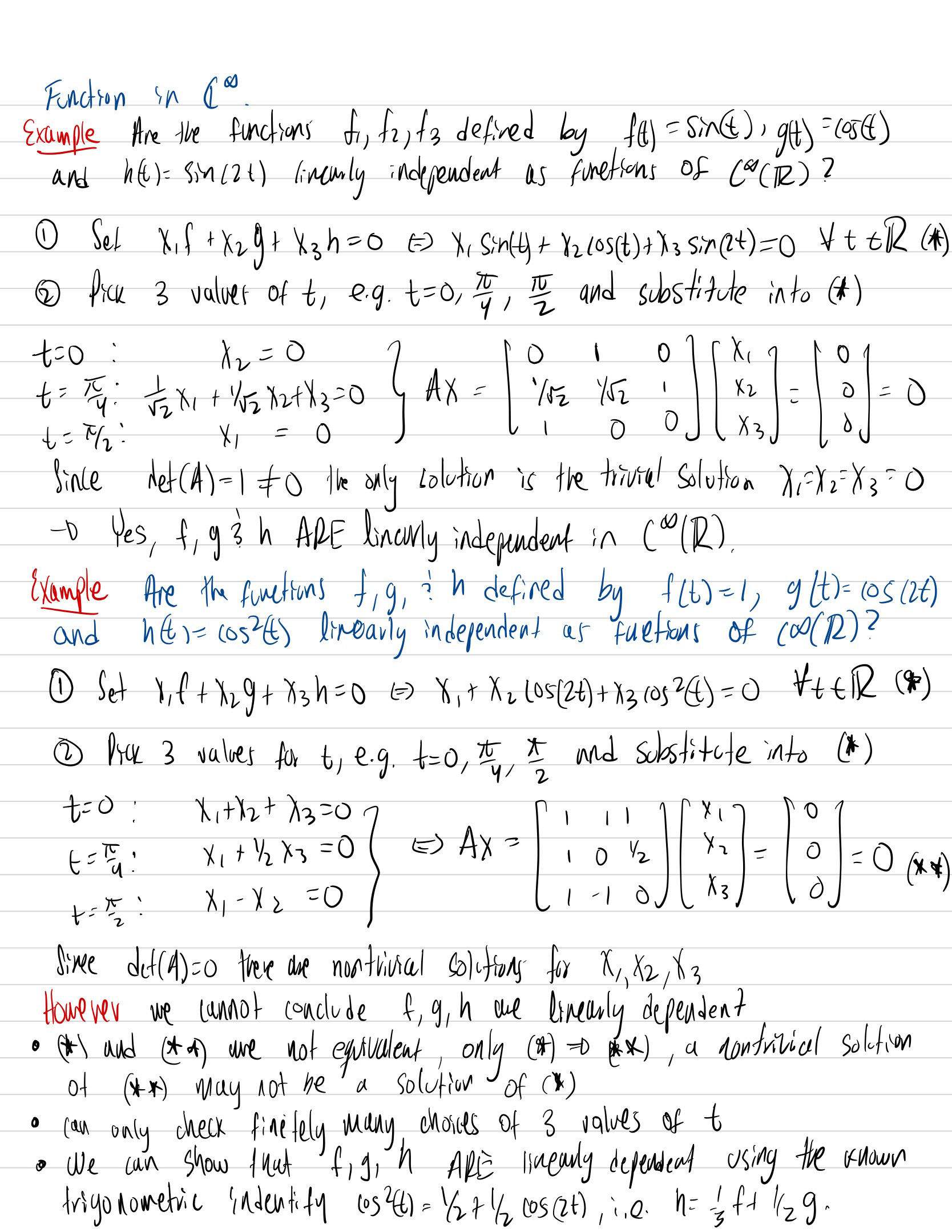
Week5- Sec 3.2 & 3.3

↑Back to Top
Powered by Adobe Portfolio