About Me
  • Writing
Mentoring + Service
Contact
Victoria Rubio
About Me
  • Writing
Mentoring + Service
Contact

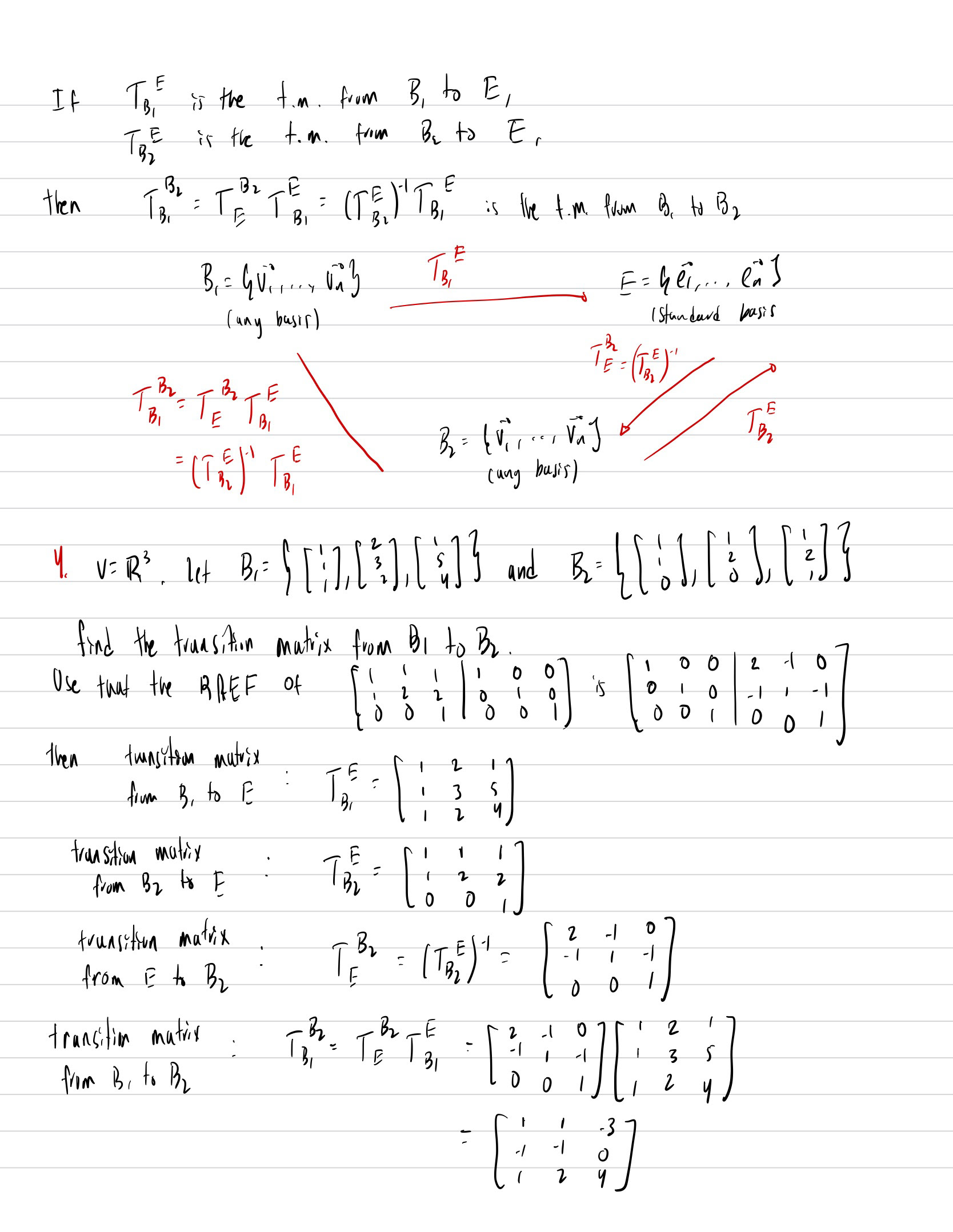
Week7-Sec 3.4 & Sec 3.5

↑Back to Top
Powered by Adobe Portfolio