About Me
  • Writing
Mentoring + Service
Contact
Victoria Rubio
About Me
  • Writing
Mentoring + Service
Contact

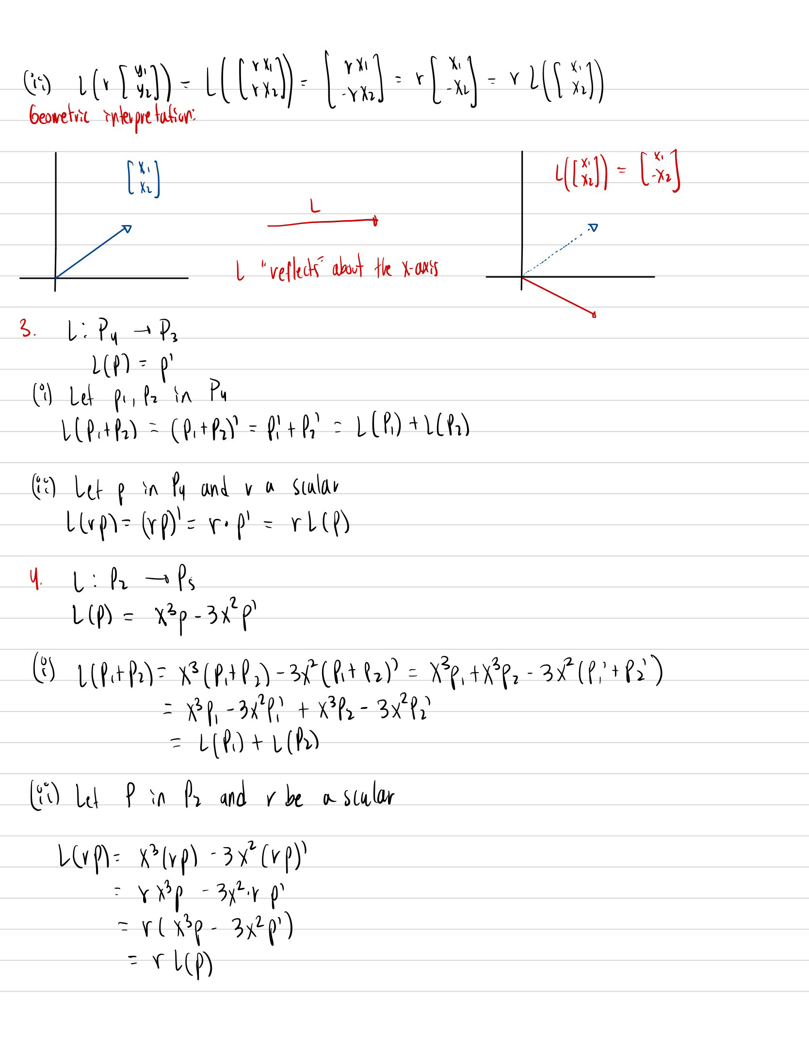
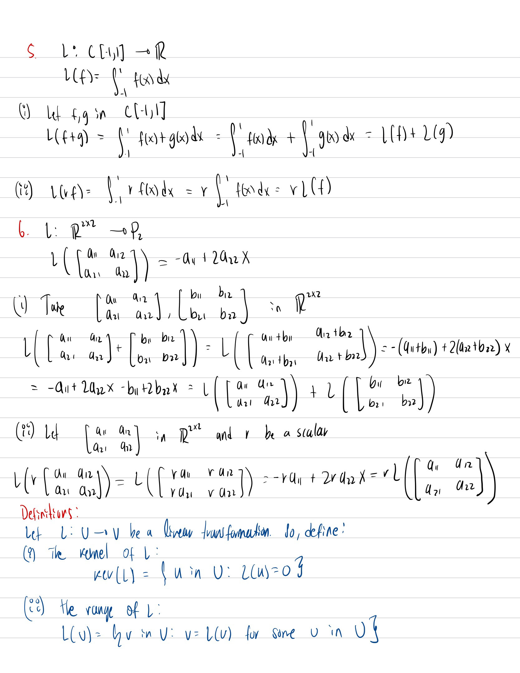
Week8- Sec 3.6 & Sec 4.1

↑Back to Top
Powered by Adobe Portfolio